7 svar
267 visningar
Ralfs behöver inte mer hjälp
Ralfs 291
Postad: 3 nov 2021 17:25

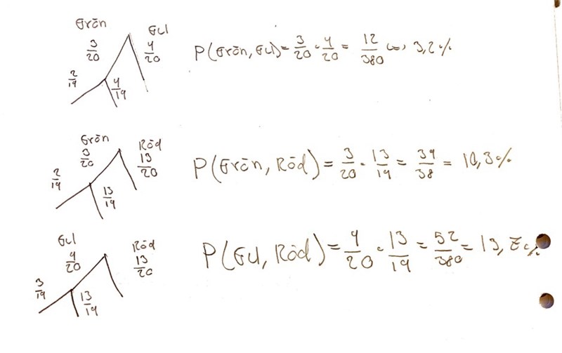
Sannolikheten för flera möjliga händelser.

Min strategi för att lösa uppgiften var:

Ska dessa procentenheter därefter summeras? Eller finns det flera steg som jag har missat? 

Dr. G 9669
Postad: 3 nov 2021 17:31

Även omvänd ordning, t.ex (röd, grön) skulle funka. 

Ett tips är att titta på sannolikheten för komplementhändelsen till att de två har olika färg.  

Henning 2067
Postad: 3 nov 2021 18:29

Det går betydligt snabbare att beräkna sannolikheten för komplementhändelsen som Dr. G påpekar ovan.

Teori om detta finner du här

Vad är komplementhändelsen i detta problem ?

Ralfs 291
Postad: 3 nov 2021 23:43

Komplementhändelsen är väl att vi inte får två av detsamma dvs. P(gul, ej gul) + P(grön, ej grön) etc för alla färger?

Henning 2067
Postad: 4 nov 2021 08:30

Nej, komplementhändelsen är att du får de båda tagna korten i samma färg. 

Ralfs 291
Postad: 4 nov 2021 08:33

Och hur skulle detta beräknas? Jag skulle vara väldigt tacksam över lite upplysning, just denna uppgift, av någon anledning, är svår för mig.

Bubo 8224
Postad: 4 nov 2021 08:40

Du får räkna på tre händelser var för sig: Grön,grön, gul,gul och röd, röd.

Henning 2067
Postad: 4 nov 2021 09:24

Beräkna P(grön,grön) , P(gul,gul) och P(röd,röd) i bråkform och addera dessa (i bråkform)

Den sannolikhet du får här är sannolikheten för komplementhändelsen, Pk
Den sökta sannolikheten P är den 'som återstår' , dvs P=1-Pk

Vad får du då ?

Svara
Close