Sannolikhetsfördelning
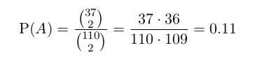
Hej, jag undrar vad detta är för sannolikhetsfördelning? Frågan handlar om att man på ett kontor med 110 anställda varav 37 är vegetarianer väljer ut två slumpmässiga personer (utan återläggning). Och vi vill beräkna sannolikheten för att dessa två personer är vegetarianer.

I frågan beskriver de alltså inte vilken typ av sannolikhet de använder för att beräkna detta och det är detta jag skulle vilja veta för att förstå svaret mer.
Tack på förhand!
Det är,diskret, likformig fördelning.
Alla par är lika sannolika.
Precis som du gjorde i Ma1 - utan återläggning, beroende händelser. Man har använt lite beteckningar från Ma5.
Du är bara intresserad av fallet att båda är vegetarianer. Sannolikheten att den första personen är vegetarian är 37/110. Sannolikheten att den andra personen är vegetarian (givet att den förste var vegetarian) är 36/109.
Ja okej då är jag med, ibland får man se tillbaka och kolla hur man gjorde tidigare. Tack för eran hjälp!