Sannolikhetsfördelning
Vad gör jag för fel asså det blir för litet när jag skriver in det. Jag vill att integralen ska bli lika med 0,9.
Jag förstår inte vad de menar i facit att man ska pröva sig fram, inget funkar för mig hur ska jag skriva i miniräknare.


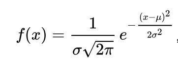
Liten text men formeln i bilden ser ut att sakna sigma^2, endast sigma (antagit att du plottat fördelningsfunktionen).

Det stämmer det du sa men även när jag lägger det blir det allt för litet.

Förstår ej vad de gör och hur de gör i grafen då jag får så litet tal
Programmeraren skrev:Liten text men formeln i bilden ser ut att sakna sigma^2, endast sigma (antagit att du plottat fördelningsfunktionen).
det st
Grafen visar hur stor andel av mansskapet som har vilken längd. Du vill att dörrens höjd ska låta 90% av besättningen gå raklång igenom. Skulle tex dörren vara 180 cm skulle 50% kunna gå igenom. Arean till vänster om 180 cm är 50% av hela arean.
Du vill hitta den punkt a på x-axeln där 90% av arean ligger till vänster. Alltså integralen av täthetsfunktionen från 0 till a ska vara 0,90.
Programmeraren skrev:Grafen visar fördelningen av manskapets längd, hur stor andel som har vilken längd. Du vill att dörrens höjd ska låta 90% av besättningen gå raklång igenom. Skulle tex dörren vara 180 cm skulle 50% kunna gå igenom. Arean till vänster om 180 cm är 50% av hela arean.
Du vill hitta den punkt a på x-axeln där 90% av arean ligger till vänster. Alltså integralen av fördelningsfunktionen från 0 till a ska vara 0,90.
Det är integralen av täthetsfunktionen man ska ta, det ger fördelningsfunktionen.
Sorry, använde fel ord. Redigerar.
Personligen skulle jag nog använt kvantilerna i detta fall: .
Källa: https://www.math.kth.se/matstat/gru/FS/tabeller_gk.pdf