2
svar
76
visningar
jdhfghr behöver inte mer hjälp
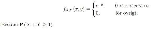
Sannolikhetsfråga med dubbelintegral
Den tvådimensionella stokastiska variabeln (X,Y) har täthetsfunktion: .jpg?width=800&upscale=false)
Facit: .jpg?width=800&upscale=false)
Själva principen fattar jag men förstår inte varför gränserna för x är 0 till 1/2. Rent spontant känns det som att x bör gå från 0 till 1.
Har du ritat en graf? f är 0 på en del av området.
Laguna skrev:Har du ritat en graf? f är 0 på en del av området.
Efter lite mer tänkande fattade jag