Sannolikhetslära
Hej, sitter totalt fast på denna uppgift.
Tack på förhand 🙂
Hjälp i facit säger bara: Sök fördelningfunktion F(x) = P(X<=x) vilket inte ger så mycket.
Ta fram den radiella täthetsfunktionen. Du får integrera den kostanta tätheten i vinkelled, vilket nästan går av sig självt p.g.a cirkulär symmetri.
Dr. G skrev:Ta fram den radiella täthetsfunktionen. Du får integrera den kostanta tätheten i vinkelled, vilket nästan går av sig självt p.g.a cirkulär symmetri.
Tack för svar. Sitter tyvärr helt fast fortfarande. Facit är iaf: E(X) = 100/3.
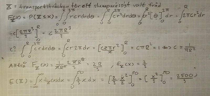
Så här då:
Du söker medelvärdet av radien. Integrera då din (konstanta) täthetsfunktion multiplicerat med radien (r) överallt.
där c ges av
Dr. G skrev:Så här då:
Du söker medelvärdet av radien. Integrera då din (konstanta) täthetsfunktion multiplicerat med radien (r) överallt.
där c ges av
Tack 🙂 Blir dock inte riktigt rätt. Får 2500/3. 
Du kommer fram till 2R/3, vilket är svaret.
När du multiplicerar "något" med täthetsfunktionen (korrekt normerad) och integrerar överallt så blir resultatet väntevärdet av "något". (Här är "något" det radiella avståndet till cirkelns centrum, r.)
Dr. G skrev:Du kommer fram till 2R/3, vilket är svaret.
När du multiplicerar "något" med täthetsfunktionen (korrekt normerad) och integrerar överallt så blir resultatet väntevärdet av "något". (Här är "något" det radiella avståndet till cirkelns centrum, r.)
Jaha okej, förstår. Tack 🙂