Sannolikhetslära
Hej, sitter fast på ett problem. Vet inte riktigt hur jag ska angripa. Tack på förhand 🙂


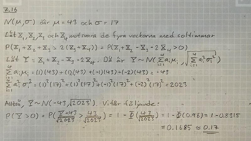
Vi har fyra stokastiska variabler, A, B, C, D, för soltimmarna de fyra veckorna.
Vi vill veta P(A+B+C > 2(C+D)), alltså P(A+B > C + 2D).
Laguna skrev:Vi har fyra stokastiska variabler, A, B, C, D, för soltimmarna de fyra veckorna.
Vi vill veta P(A+B+C > 2(C+D)), alltså P(A+B > C + 2D).
Har suttit ett tag nu, men kommer inte riktigt vidare. Blir lite snurrigt med alla s.v.
Ska jag sätta X = A + B och Y = C + 2D?
Jag har inte fortsatt själv, men det är nog rätt.
Laguna skrev:Jag har inte fortsatt själv, men det är nog rätt.
Du hade rätt, löste uppgiften. Tack så mycket Laguna 🙂

Har du något tips på hur man ska angripa textuppgifter? Har jätte problem med att angripa och formula problemen. Står helt stilla 😕 Du verkade se hur man ska ställa upp problemet ganska snabbt.