3
svar
120
visningar
Diskret behöver inte mer hjälp
Sannolikhetslära
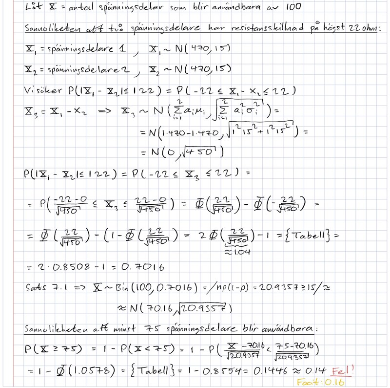
Hejsan, har lite problem med följande uppgift:

Min uträkning:

Facit:

Tänker jag fel i nåt steg? Är väldigt nära rätt svar.
Tacksam för hjälp :)
De gör troligen en halvkorrektion; men det är en svag lösning då alla tal ej är förklarade.
Precis,
Så deras förenkling ledde till ett resultat som avviker mer från det exakta än vad ditt gör.
Då förstår jag, tack ska ni ha :)