Sannolikhetstäthet
Har lite problem med en uppgift:
Betrakta vågfunktionen . Bestäm normeringskonstanten N.
Vet att P(x,0) =
och att men hur beräknar jag integralen?
Jämför med en vanlig normalfördelning från en formelsamling och gör variabelbyten och förlänger tills du får något i integralen som du vet blir 1. Då är det bara kolla på vad som är kvar utanför.
Vilka funktioner finns det för normalfördelning, hittar inga?
Det var faktiskt svårare att hitta än jag tänkte mig. Sjukt besviken på både matteboken och wikipedia..

Vilket my och sigma passar med det du har?
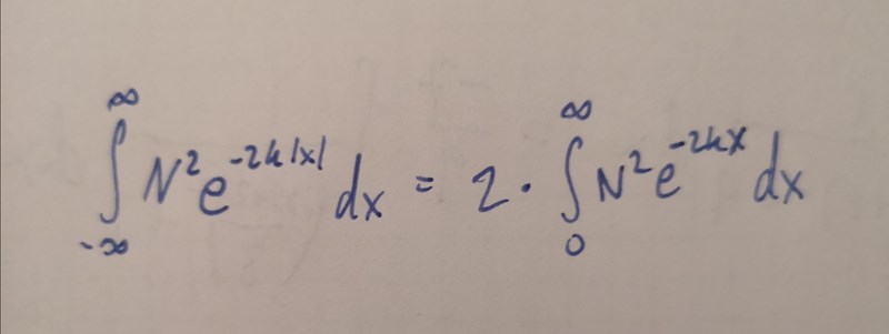
Eller har jag sett fel, tvåan är ju utanför hela.. Då borde det ju bara vara att ta in den och integrera e som vanligt.
My blir väl 0 men sigma vet jag inte. Hur jag man tänka när det är absolutbelopp av x?
Du får en jämn funktion, så det är bara att vika ihop den på mitten. 
Det här hade inget att göra med normalfördelning, det var jag som var blind och tyckte 2an satt på x.
Visst gäller att om a är skiljt från 0?
för då måste
allså
Osäker på vad din första mening betyder men svaret verkar stämma.
Oj menar
Hej,
Skriv vågfunktionen vid tiden som där . Denna funktion ska uppfylla kravet
vilket motsvaras av kravet
Integralen skrivs som en summa av två integraler.
vilket ger normeringskonstanten