1
svar
116
visningar
mrlill_ludde behöver inte mer hjälp
Sannolikhetsteori

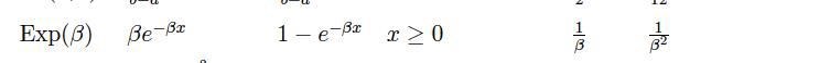
om jag har den där frågan tex, och tabellen är:


Betyder det att 1/beta = e(x) dvs i vårt fall 1/beta = 2 ... ? och beta är då 1/2?
Ja, det stämmer.
(Det är även vanligt att man uttrycker en exponentialfördelning med täthetsfunktionen t.ex. på Wikipedia, och då blir , men så som det står i din tabell har du tänkt helt korrekt)