Sannolikhetsteori
"Sannolikheten att en viss komponent skall fungera mer än timmar är t . Ett system innehåller 12 sådana komponenter. Bestäm sannolikheten att 9 komponenter fungerar efter 50 timmar."
Jag har ingen aning om var jag ska börja. Hjälp uppskattas!
Låt beteckna sannolikheten att en enskild komponent fungerar efter timmar.
där betecknar komponentens livslängd. Du har stycken sådana komponenter vars livslängder antas vara oberoende slumpvariabler. Låt beteckna antalet sådana komponenter som fungerar efter timmar. Denna slumpvariabel är Binomialfördelad Du är intresserad av att bestämma sannolikheten
Jag blev inte mycket smartare av detta. Var ska jag börja? Förlåt att jag behöver ta om från grunden... Jag gissar på att , men det är bara gissningar.
Hittar väldigt lite om det och undrar om någon här vet en bra sida som förklarar bra och pedagogiskt. Jag har svårt för detta.
Du har fått givet att
Hur beräknar man sannolikheter för binomialfördelningar?
Plugghingsten skrev:[...]
Hittar väldigt lite om det och undrar om någon här vet en bra sida som förklarar bra och pedagogiskt. Jag har svårt för detta.
Vilka sökord använder du för att finna information som du kan använda för att lösa uppgiften?
Albiki skrev:Du har fått givet att
Hur beräknar man sannolikheter för binomialfördelningar?
Är det samma tillvägagångssätt alltid? Att jag då tänker "1 sak efter X h"? Slår jag det på miniräknaren får jag . Det är alltså sannolikheten för en komponent. Är detta vårt ? Som att ? Än en gång, detta är ren gissning!
Binomialen räknas ut så här:
(formelsamling för binomialfördelning på internet)
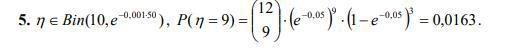
Räknar jag vidare på detta får jag rätt svar. Dock hittade jag facit till denna uppgift och blir kluven efter att se på det.

Var kommer första delen ifrån?
Plugghingsten skrev:Albiki skrev:Du har fått givet att
Hur beräknar man sannolikheter för binomialfördelningar?
Är det samma tillvägagångssätt alltid? Att jag då tänker "1 sak efter X h"? Slår jag det på miniräknaren får jag . Det är alltså sannolikheten för en komponent. Är detta vårt ? Som att ? Än en gång, detta är ren gissning!
Binomialen räknas ut så här:
(formelsamling för binomialfördelning på internet)
Räknar jag vidare på detta får jag rätt svar. Dock hittade jag facit till denna uppgift och blir kluven efter att se på det.
Var kommer första delen ifrån?
Det ska inte vara Bin(10,p)-fördelningen, utan Bin(12,p)-fördelningen; facit räknar sedan med den korrekta Bin(12,p)-fördelningen. Det sökta svaret är tydligen sannolikheten (approximativt).
Alltså står det fel i facit? Det bör stå ?