1
svar
135
visningar
Sannolikhetsteori
Hej,
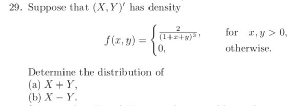
Jag skulle behöva hjälp med att lösa uppgift (a) då det är något som jag missar, troligtvis i min integral misstänker jag. Frågan är följande:

Och jag har försökt att lösa den på nedanstående sätt. Dock säger facit att svaret ska vara och inte som jag fick. Vad är det som jag missar? Tack på förhand!

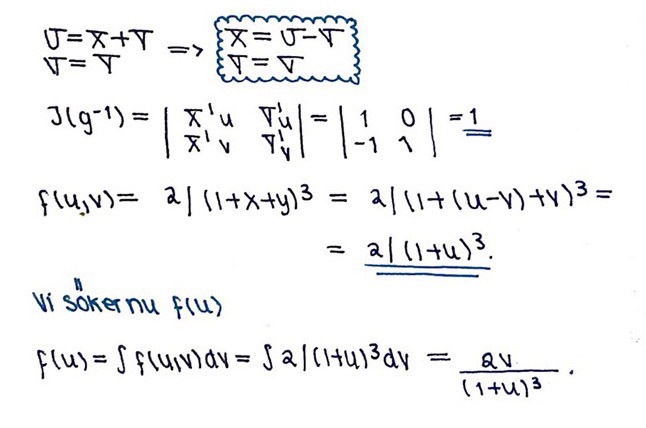
Det första problemet är att din variabelsubstitution
ger två nya variabler som inte är oberoende av varandra.
Därav fallerar mycket av den sannolikhetsteori du har lärt dig.
Ett bättre alternativ hade nog vart att låta:
Det andra problemet är att du glömt definiera om gränserna för densiteten:
Dessa gränser behöver vara med när du integrerar: