Sannolikhetsteori - Betingat väntevärde
Hej! Se uppgift och facit nedan. Lyckades lösa a och b, men förstår inte sista steget i c), hur får de ?

![]()
Har du fått fram F_{X,Y}?
Om du lägger upp dina räkningar på a) och b) finns det säkert någon som ger ett snabbt svar.
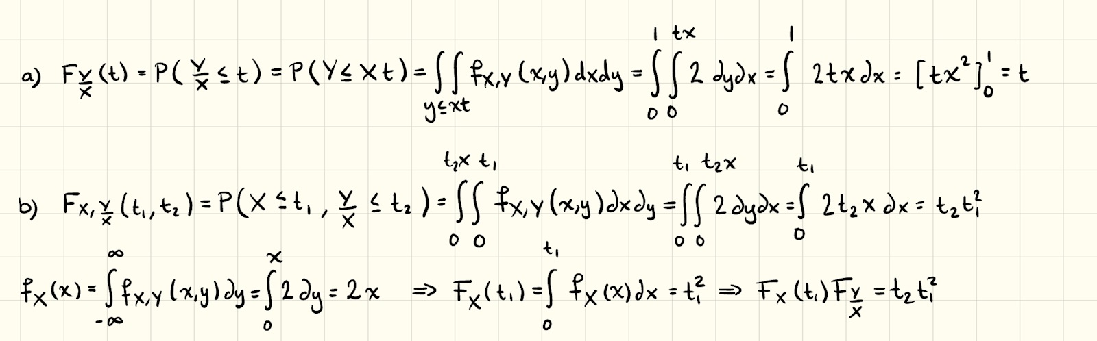
Oberoendet är använt vid 2:a "=" och i sista ledet krävs a).
Trinity2 skrev:Har du fått fram F_{X,Y}?
Om du lägger upp dina räkningar på a) och b) finns det säkert någon som ger ett snabbt svar.
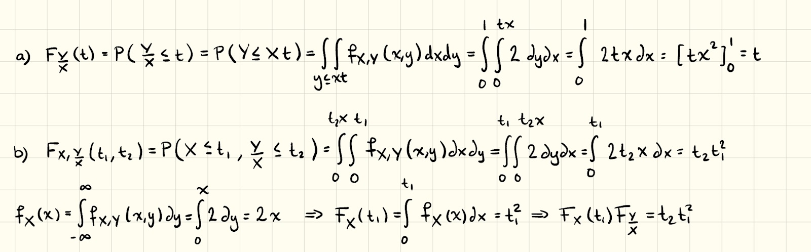
Oberoendet är använt vid 2:a "=" och i sista ledet krävs a).

Såhär gjorde jag på a och b, och bör stämma enligt facit.
teknikomatte skrev:Trinity2 skrev:Har du fått fram F_{X,Y}?
Om du lägger upp dina räkningar på a) och b) finns det säkert någon som ger ett snabbt svar.
Oberoendet är använt vid 2:a "=" och i sista ledet krävs a).
Såhär gjorde jag på a och b, och bör stämma enligt facit.
Är du med på


Japp, det är bara sista likheten jag inte förstår
Vad är definitionen på betingat väntevärde (med integral)?
Trinity2 skrev:Vad är definitionen på betingat väntevärde (med integral)?
Vet inte varför jag inte tänkte på att använda definitionen för väntevärde, men lyckades lösa det nu. Tack för hjälpen!
