0
svar
91
visningar
Qetsiyah behöver inte mer hjälp
Sannolikhetsteori: en vänlig analfabet
Frågan inte längre aktuell, analfabeten frågan syftar på måste vara mig
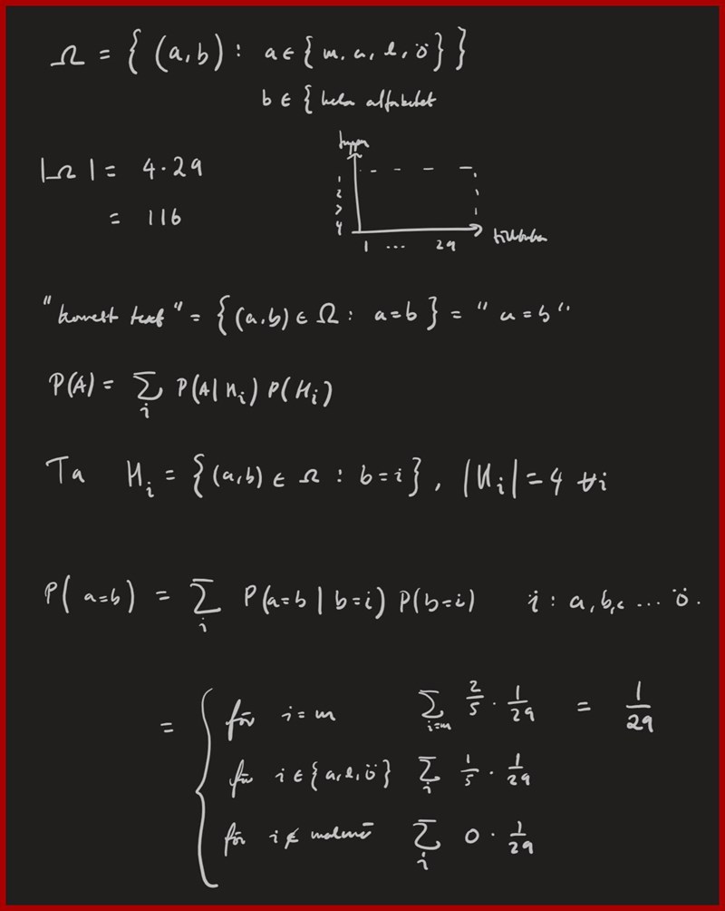
Hej, jag tolkade denna fråga fel, men kan nån se om min lösning är rätt så som jag tolkade frågan?

Jag tänkte att analfabeten hade hela alfabetet till förfogande (fråga inte varför, jag är ganska dum) och lösningen blev såhär:

Utfallsrummet är ett par (tappad, tillbakasatt) som har 4*29 element. Jag använder satsen om total sannolikhet och summerar alltså över (4 långa) kolumner i det där diagrammet. Sedan summerar jag och får 1/29.