2
svar
111
visningar
InteDenSmartaste behöver inte mer hjälp
Sanstat - konfidens intervall
Facit säger att man ska använda sig av tabellsamlingen för b), men jag vet inte riktigt hur jag ska använda mig av den.

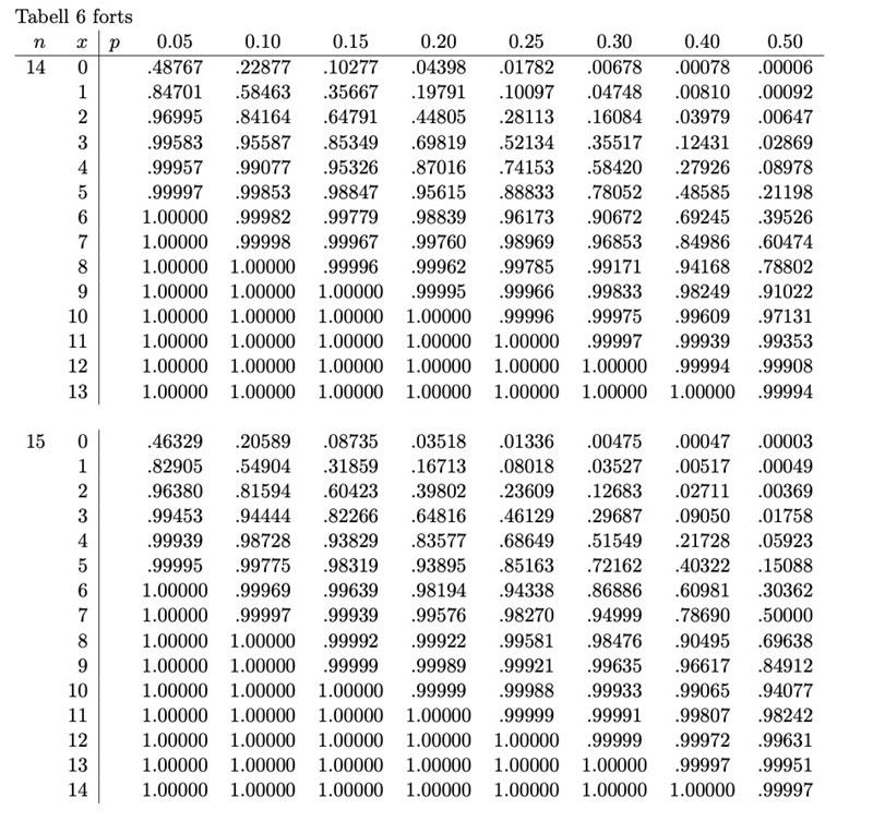
Sannolikheten att en konstant är utom ett konfidensintervall är binomialfördelat med n=15 och p=0.1.
- Sannolikheten att 0 missar: P(X<=0).
- Sannolikheten att 1 missar: P(X<=1)-P(X<=0).
- Sannolikheten att 2 missar: P(X<=2)-P(X<=1).
- osv....
Vilken av dessa sannolikheter är störst?
Ahaa, jag förstod inte vad de ville få fram i uppgiften, tack så mycket!