6 svar
316 visningar
Marx behöver inte mer hjälp
Marx 383
Postad: 5 maj 2020 10:27 Redigerad: 5 maj 2020 10:38

Satellit i cirkelbana

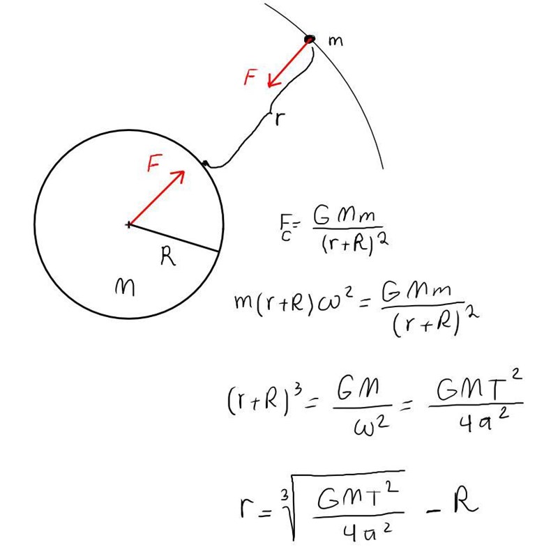
En satellit rör sig i cirkelbana i samma plan som jordens ekvator. På vilken höjd ska den röra sig för att hela tiden befinns sig över samma punkt på ekvatorn (dvs se ut att stå stilla över denna punkt)? Frågan besvaras med hjälp av diagrammet, där tyngdaccelerationen g angivits i  jordradierh2 som funktion av avståndet r från jordens medelpunkt uttryckt i jordradier. Jordens rotationstid är 24 h.


Jag har löst uppgiften utan att använda diagrammet. Här är min lösning:

Efter insättningen av värdena i den sista fromeln får jag r=5.63R och det stämmer inte enligt facit. I facit står det r=6.6 R och dessutom är det en helt annan lösning med hjälp av diagrammet. Kan någon förklara hur man ska lösa frågan med hjälp av diagrammet?

Smaragdalena 78892 – Avstängd
Postad: 5 maj 2020 11:11

Om du lägger in in bild av lösningen från facit, så minskar du risken att få en tredje lösning...

SaintVenant 3999
Postad: 5 maj 2020 11:13

r är avståndet från jordens mittpunkt men du har dragit bort en jordradie och svarat med 5.6R.

Lägg till en jordradie och du får 6.6R.

Marx 383
Postad: 5 maj 2020 11:28 Redigerad: 5 maj 2020 11:58
Smaragdalena skrev:

Om du lägger in in bild av lösningen från facit, så minskar du risken att få en tredje lösning...

Hahaha! Okej! Här kommer lösningen från facit:

6.6 jordradier 

Satellitens centripetalacceleration ska vara r·(2RT)2=r(R12)2 jordradier/h2.Dra en rät linje med lutningen (R12)2genom origo och se efter var den skär kurvan.

Marx 383
Postad: 5 maj 2020 11:29
Ebola skrev:

r är avståndet från jordens mittpunkt men du har dragit bort en jordradie och svarat med 5.6R.

Lägg till en jordradie och du får 6.6R.

Ja, så hade jag tänkt också! Men r i det här fallet ska vara höjden och inte avståndet från jordens centrum.

Smaragdalena 78892 – Avstängd
Postad: 5 maj 2020 12:30

Det verkar som om facit inte har svarat på den fråga som ställs i uppgiften, utan den fråga som dom tycker vore bättre. 

Marx 383
Postad: 5 maj 2020 13:51
Smaragdalena skrev:

Det verkar som om facit inte har svarat på den fråga som ställs i uppgiften, utan den fråga som dom tycker vore bättre. 

Hahahaha! Det stämmer nog. Nu har jag löst uppgiften på ett annat sätt och det verkar vara korrekt!

Svara
Close