Satsen för en avbildningsmatris
Hej!
Jag har fastnat på uppgiften:
Beräkna avbildningsmatrisen för ortogonal projektion på linjen genom origo med riktningsvektor (2,1,2)
Jag är inte den första som har fastnat på denna uppgiften och har därför jämfört med svaret från ett annat inlägg på pluggakuten:
https://www.pluggakuten.se/trad/ortogonal-projektion-i-r3/
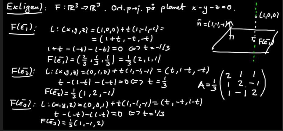
Tillvägagångssättet skiljer sig i stor utsträckning från sättet jag har lärt mig att plocka fram en avbildningsmatris (Jonas Månsson Linjära avbildningar video) där man både behöver en riktningsvektor och en ortogonal projektion för att kunna göra en avbildningsmatris, se exempel nedan för hur han plockar fram avbildningsmatrisen mha den ortogonala projektionen på planet (x-y-z=0) och riktningsvektorn (1,-1,-1):
I uppgiften ovan är riktningsvektorn given, men ingen ortogonal projektion. Finns det något sätt att lösa fram den ortogonala projektionen så man kan lösa uppgiften på samma sätt som Jonas Månsson gjorde i exemplet ovan?
Tacksam för hjälpen!
Vet du hur man projicerar en vektor på en annan vektor? Det är vad du behöver kunna i denna uppgift. Du projicerar de tre basvektorerna på riktningsvektorn och får de tre kolumnerna i avbildningsmatrisen.
Generellt för att beräkna en avbildningsmatris räknar man ut avbildningarna av basvektorerna och stoppar in resultatet som kolumner i avbildningsmatrisen. I exemplet från videon gör han det för projektion på plan. Din uppgift är egentligen lite enklare, eftersom du bör ha en formel för hur man projicerar en vektor på en annan vektor (riktningsvektorn för linjen). I fallet med ett plan måste man gå via normalen för planet, och det är vad man gör i video-exemplet.
Men metoden är densamma: beräkna basvektorernas avbildningar.
Hondel skrev:Vet du hur man projicerar en vektor på en annan vektor? Det är vad du behöver kunna i denna uppgift. Du projicerar de tre basvektorerna på riktningsvektorn och får de tre kolumnerna i avbildningsmatrisen.
Stort tack för båda svaren!
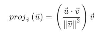
Genom att använda sig av formeln nummer ett:
så kan vi projicera en vektor på en annan, och likså kan vi göra mha formel nummer två:
Se hela resonemanget här: Pluggakuten
Jag förstår nu att jag gjort det aningens för komplicerat för mig, och förstår nu tillvägagångssättet, men jag har bara en följdfråga, kan man använda formel ett i samma situationer som man kan i formel två?
Ja, det är exakt samma sak, bara annan notation. Så här kan du se det
Det är alltså en smaksak. Personligen har jag alltid tyckt att pilar ovanför vektorer lätt förväxlas med tak samt att ordet "proj" mitt i en elegant ekvation är stötande.
Etthejfrånpolhem skrev:Hondel skrev:Vet du hur man projicerar en vektor på en annan vektor? Det är vad du behöver kunna i denna uppgift. Du projicerar de tre basvektorerna på riktningsvektorn och får de tre kolumnerna i avbildningsmatrisen.
Stort tack för båda svaren!
Genom att använda sig av formeln nummer ett:
så kan vi projicera en vektor på en annan, och likså kan vi göra mha formel nummer två:
Se hela resonemanget här: Pluggakuten
Jag förstår nu att jag gjort det aningens för komplicerat för mig, och förstår nu tillvägagångssättet, men jag har bara en följdfråga, kan man använda formel ett i samma situationer som man kan i formel två?
De två uttrycken är samma, men skillnaden är väl i den andra ska v vara normaliserad, dvs ha längd 1. I den första formel kan v ha vilken längd som helst

Se hela resonemanget här: