se om ett gränsvärde saknas med taylor utveckling
Hej, jag undrar om det finns ett smidigt sätt att märka om ett gränsvärde saknas när man gör Taylor utveckling?
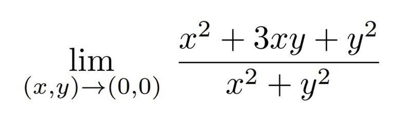
Stötte på denna uppgiften.
Om man gör om till planpolära koordinater ser man att den saknar gränsvärde men hur skulle man ha märkt det om man istället använde Taylors formel? Får när jag utvecklar nämnaren och täljaren till andra derivatan att det blir samma uttryck(kan ha räknat fel). Kan man då säga det saknas gränsvärde eller behövs det utvecklas mer?
Att taylorutveckla är ju en process genom vilket du approximerar en funktion med ett polynom.
Om man Taylor utvecklar ett polynom får man tillbaka exakt samma polynom. Eftersom ett polynom redan är sin egna Taylorutveckling.
Så metoden är inte alls relevant vid kvoter av polynom p(x,y)/q(x,y) skulle jag säga.
Sedan finns det andra metoder än polära koordinater för att undersöka gränsvärdet men taylorutveckling blir bara rundgång.