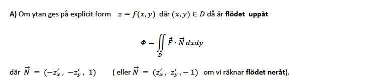
Se om flödet är uppåt eller nedåt.

alltså. om z=f(x,y) är positiva tex: F = x+y+z ... då går flödet uppåt????
om z=f(-x,-y) är negativa: tex : F = -x-y-z ... då går flödet nedåt??
De ytor du stöter på är förmodligen snällt tvåsidiga och styckvis glatta. För en sådan yta kan en positiv normalriktning alltid definieras.
Ytans normalriktning bestäms av ytan och av vad du själv anser är den positiva sidan. Det har inte med Fältet F att göra.
Du får själv välja åt vilket håll ytan ska ha sin positiva normalriktning. Om man ska beräkna ett flöde upp genom en yta är det bekvämt att låta den positiva normalriktningen (den röda pilen) peka uppåt, så här:
Den röda pilen är ytnormalen, alltså är ytans positiva sida vänd uppåt i detta fall.
Det enda som händer om du vänder på den röda pilen (dvs beräknar flödet nedåt) är att du kommer få exakt samma flöde genom ytan (de blå pilarna), fast med motsatt tecken.
Tecknet på normalriktningen till ytan är något du själv bestämmer. Men för att få använda Gauss och med Gauss' analoga satser utan att ändra tecken måste du välja normalriktningen så att ytan S som begränsar volymen V har en normal som är utåtriktad.