Separabel diff.ekvation


För det första: Har jag tänkt rätt när jag uttrycker ytans höjd med hjälp av klotets volym? Det blir så fula och jobbiga värden, men det bör vara rätt tänker jag.
För det andra: När jag kommer fram till V(t) har jag två okända konstanter, dels proportionalitetskonstanten ’k’ och dels konstanten ’C1’ från den primitiva funktionen. Hur kan jag använda begynnelsevärden för att bestämma båda? Jag har fastnat där.
Nej jag tittade på detta en stund, men kom inte i mål.
Om man sätter radien till 1 och betraktar vätskeytan h över medelpunkten så är vätskedjupet 1+h.
h under medelpunkten är det 1–h. I bägge fallen är vätskeytans area A = pi(1–h^2), så man kan tänka sig en tunn cirkelskiva med volymen Adh.
Flödena vid respektive nivåer förhåller sig som [(1+h)/(1–h)]^(1/2) vilket ger att tiderna har omvänt förhållande eftersom respektive ”skivor” har samma volym. Jag räknade på detta och fick ett svar, men inget jag är trygg med.
Ett alternativ är att lägga en lodrät axel genom klotet och titta på vinkeln i medelpunkten mellan axeln och en linje som går till vätskeytans kontakt med klotytan. Det blev trigonometriska integraler.
Men jag landar i integraler, ser inte hur jag ska få till en diffekvation. Jag har gjort liknande uppgifter där diffekv var mer välkomnande.
k borde kunna divideras bort. Allt är proportionellt mot den: utströmningshastigheten, och därmed hur mycket som har runnit ut på en viss tid.
Det ser inte så ut i din lösning, men jag ska kolla senare.
Är uttrycket för V korrekt?
dV/dt = 6/5*<inre derivata>*(..*t + C1)^1/5
konstanten C1 fanns inte i ursprungliga definitionen av dV/dt( =-k …)
Problemet här tycker jag är “det stympade klotet”. Om vi tar en melon med känd radie och gör ett plant snitt med samurajsvärd så kan vi bestämma de två delarnas respektive volymer, men jag drar mig för det – verkar jobbigt. Men i så fall kunde man kanske få fram en diffekv.
Mogens skrev:Problemet här tycker jag är “det stympade klotet”. Om vi tar en melon med känd radie och gör ett plant snitt med samurajsvärd så kan vi bestämma de två delarnas respektive volymer, men jag drar mig för det – verkar jobbigt. Men i så fall kunde man kanske få fram en diffekv.
Ja det är dels det, men även att man inte får några faktiska värden som begynnelsevillkor.
Precis innan denna uppgift fanns en liknande uppgift, fast med vatten i ett badkar, där vattenytans höjd = y. Där var det mycket enklare att bara direkt utnyttja Torricellis lag enligt . Lösningen blev . Alltså fick man två okända konstanter. Men man fick också två tydliga begynnelsevillkor med värden så att man kunde lösa ut både och .
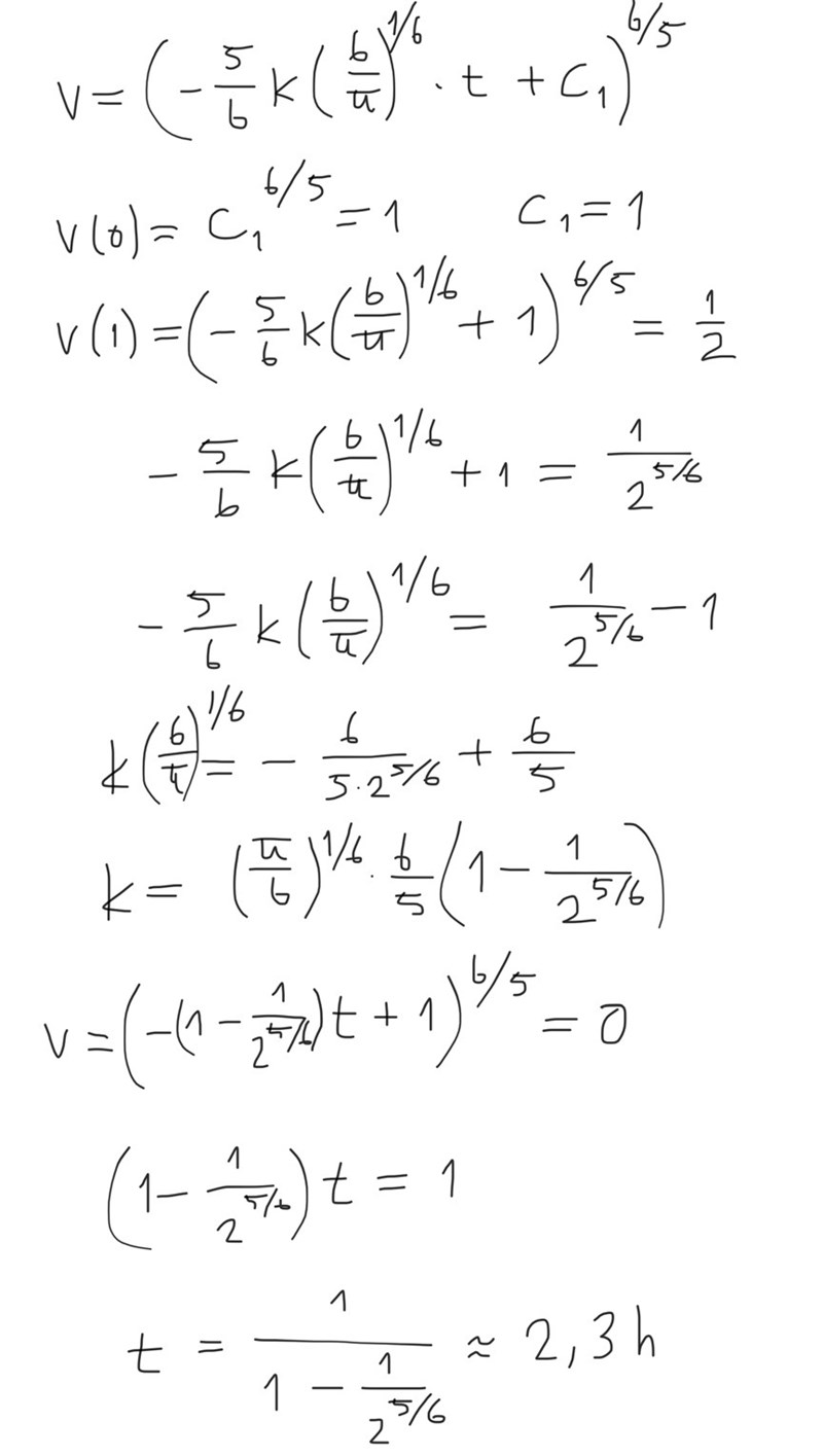
I uppgiften med klotet får vi visserligen två begynnelsevillkor, dels att volymen är "full" efter 0h och dels att den är halverad efter 1h, men jag fattar inte hur man ska använda detta. Man kan väl inte bara sätta t.ex. V(0) = 1 och V(1) = 1/2 och sätta in värdena eller? Det känns fel.
Laguna skrev:k borde kunna divideras bort. Allt är proportionellt mot den: utströmningshastigheten, och därmed hur mycket som har runnit ut på en viss tid.
Det ser inte så ut i din lösning, men jag ska kolla senare.
Kom du fram till något? :)
jonnefcb skrev:Mogens skrev:Problemet här tycker jag är “det stympade klotet”. Om vi tar en melon med känd radie och gör ett plant snitt med samurajsvärd så kan vi bestämma de två delarnas respektive volymer, men jag drar mig för det – verkar jobbigt. Men i så fall kunde man kanske få fram en diffekv.
Ja det är dels det, men även att man inte får några faktiska värden som begynnelsevillkor.
Precis innan denna uppgift fanns en liknande uppgift, fast med vatten i ett badkar, där vattenytans höjd = y. Där var det mycket enklare att bara direkt utnyttja Torricellis lag enligt . Lösningen blev . Alltså fick man två okända konstanter. Men man fick också två tydliga begynnelsevillkor med värden så att man kunde lösa ut både och .
I uppgiften med klotet får vi visserligen två begynnelsevillkor, dels att volymen är "full" efter 0h och dels att den är halverad efter 1h, men jag fattar inte hur man ska använda detta. Man kan väl inte bara sätta t.ex. V(0) = 1 och V(1) = 1/2 och sätta in värdena eller? Det känns fel.
Varför menar du att du inte skulle kunna sätta in 1 resp 1/2? Två obekanta och två ekvationer.
Analys skrev:
Varför menar du att du inte skulle kunna sätta in 1 resp 1/2? Två obekanta och två ekvationer.
Jo men det kanske kan funka då. Jag testade dock göra det nu och det blev tyvärr fel. 
Rätt svar är förresten ca 2,6h.
Facit säger såhär: Tanken är tom efter
Detta kanske kan ge en ledtråd om hur de har gjort?
De har för det mesta fina heltal i sin uträkning, inga jobbiga exponenter osv och jag misstänker därför att jag kanske har tänkt fel när jag har uttryckt .
Volym och bevis här:
https://en.wikipedia.org/wiki/Spherical_cap
Analys skrev:Volym och bevis här:
https://en.wikipedia.org/wiki/Spherical_cap
Aha! Jag har antagit att h = 2r, vilket inte stämmer när ytan sjunker. Därför blir mitt uttryck fel. När volymen sjunker så blir det bara som att sfären krymper enligt mitt uttryck, vilket är fel.
Hmm, jag får fundera på hur jag ska implementera formlerna för denna "klotkalott" som du länkade till.
jonnefcb skrev:Rätt svar är förresten ca 2,6h.
Facit säger såhär: Tanken är tom efter
…
Hoppsan, igår fick jag 32(sqr2)/18 ≈ 2,514, tavelträff i alla fall! Skiljer bara 6 min 30 s, så exakt kan man ändå inte förutsäga…
Men det var nog en slump, mina räkningar var ganska muddriga på slutet. Fick inte riktigt plats på pappret utan skrev på vita fält som blivit över.
Det var som …
Bra jobbat!
En fråga bara: Varför ställde du upp ekvationen dt/dh = ...
Hade det gått lika bra att lösa dh/dt = ...(omvänd kvot)?
Det kändes naturligt eftersom uttrycket hade h som variabel, ch(2–h)^(1/2).
Jag kände igen några krokvinklar från min lösning dagen innan, när jag får tråkigt ska jag kolla den igen. Men fortfarande hittar jag inte diffekvationen.