6 svar
132 visningar
destiny99 behöver inte mer hjälp
destiny99 10920
Postad: 1 sep 2025 20:48 Redigerad: 1 sep 2025 20:59

Separabel differentialekvation

Hej!

 

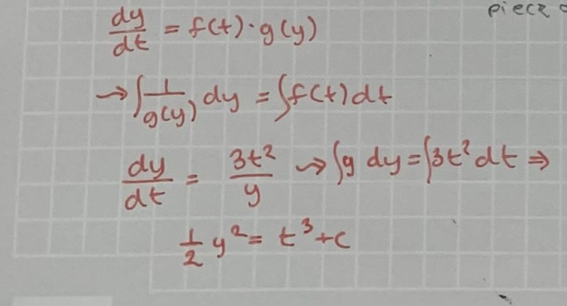
Man ska lösa uppgiften enligt metoden (andra bilden) men jag får ändå inte samma svar som facit. De fick y=-+sqrt(x^2+c). Jag vet inte varför det skiljer sig

Micimacko 4136
Postad: 1 sep 2025 21:11

Jag hittade inget fel, så testade skriva in det i wolfram. Har du kollat på rätt rad i facit? Och bara av nyfikenhet, vad är det man inte får göra på tentan? Tycker det ser ut som en vanlig standardmetod.

destiny99 10920
Postad: 1 sep 2025 21:46 Redigerad: 1 sep 2025 21:56
Micimacko skrev:

Jag hittade inget fel, så testade skriva in det i wolfram. Har du kollat på rätt rad i facit? Och bara av nyfikenhet, vad är det man inte får göra på tentan? Tycker det ser ut som en vanlig standardmetod.

Det assistenten menar man inte får göra på tentan är att använda detta trick nedan för att lösa separabla diffekv. Jag vet tyvärr inte varför , men jag ska kolla upp detta. Jag tycker också man borde få använda standardmetoden. Men facit finns däruppe där det står 8 under section 2.2

Trinity2 Online 4011
Postad: 1 sep 2025 22:06
destiny99 skrev:
Micimacko skrev:

Jag hittade inget fel, så testade skriva in det i wolfram. Har du kollat på rätt rad i facit? Och bara av nyfikenhet, vad är det man inte får göra på tentan? Tycker det ser ut som en vanlig standardmetod.

 

Det assistenten menar man inte får göra på tentan är att använda detta trick nedan för att lösa separabla diffekv. Jag vet tyvärr inte varför , men jag ska kolla upp detta. Jag tycker också man borde få använda standardmetoden. Men facit finns däruppe där det står 8 under section 2.2

 

Jag förstår ej frågan. Vad är felet?

y'(t)=3t^2/y(t)

är inte samma ekvation som gavs ovan.

destiny99 10920
Postad: 1 sep 2025 22:31
Trinity2 skrev:
destiny99 skrev:
Micimacko skrev:

Jag hittade inget fel, så testade skriva in det i wolfram. Har du kollat på rätt rad i facit? Och bara av nyfikenhet, vad är det man inte får göra på tentan? Tycker det ser ut som en vanlig standardmetod.

 

Det assistenten menar man inte får göra på tentan är att använda detta trick nedan för att lösa separabla diffekv. Jag vet tyvärr inte varför , men jag ska kolla upp detta. Jag tycker också man borde få använda standardmetoden. Men facit finns däruppe där det står 8 under section 2.2

 

Jag förstår ej frågan. Vad är felet?

y'(t)=3t^2/y(t)

är inte samma ekvation som gavs ovan.

Nej jag vet men jag undrar om svaret i facit beror på vald metod eller om de bara råkat skriva fel?

Trinity2 Online 4011
Postad: 1 sep 2025 23:51
destiny99 skrev:
Trinity2 skrev:
destiny99 skrev:
Micimacko skrev:

Jag hittade inget fel, så testade skriva in det i wolfram. Har du kollat på rätt rad i facit? Och bara av nyfikenhet, vad är det man inte får göra på tentan? Tycker det ser ut som en vanlig standardmetod.

 

Det assistenten menar man inte får göra på tentan är att använda detta trick nedan för att lösa separabla diffekv. Jag vet tyvärr inte varför , men jag ska kolla upp detta. Jag tycker också man borde få använda standardmetoden. Men facit finns däruppe där det står 8 under section 2.2

 

Jag förstår ej frågan. Vad är felet?

y'(t)=3t^2/y(t)

är inte samma ekvation som gavs ovan.

Nej jag vet men jag undrar om svaret i facit beror på vald metod eller om de bara råkat skriva fel?

Missar jag något uppenbart, för jag ser inget facit.

Trinity2 Online 4011
Postad: 2 sep 2025 00:01

Svara
Close