2 svar
192 visningar
jonte12 behöver inte mer hjälp
jonte12 472
Postad: 11 maj 2022 17:00 Redigerad: 11 maj 2022 17:22

Separabel differentialekvation

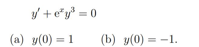
Jag ska lösa ekvationen: . För det första undrar jag: Detta är tydligen en separabel differentialekvation men hur vet jag det? Som jag har fått lära mig så är det en separabel diff. ekvation om man kan skriva den som y'(x)f(y(x))=g(x) och jag har svårt att se detta. Min första tanke var att köra med integrerade faktor, för y' är fri...

 

För det andra: när jag har löst ekvationen för de bägge villkoren kommer jag fram till samma svar, y=12ex-1, men svaret ska vara negativt i b och positivt i a, hur kommer man fram till det?

Laguna Online 32191
Postad: 11 maj 2022 17:05

Skriv y' ensamt på ena sidan.

Micimacko 4136
Postad: 12 maj 2022 10:56

Du ser att du inte kan använda integrerande faktor eftersom y är upphöjt till 3. Då kan du nästan anta att den är separabel, för annars blir det väldigt svårt att lösa den.

När man löser separabla ekv är det alltid bra att rita upp ett plan och markera när du gör något som kan ha flera lösningar eller vara otillåtet för vissa värden på x eller y. Tex borde du se att du måste plocka bort linjen y=0 redan i första steget när du dividerar med y^3, och sen när du tar roten ur får du 2 lösningar, y=+/- rot(..), då väljer du redan i uträkningen om du vill behålla + eller - beroende på vilken del av planet din startpunkt ligger i.

Svara
Close