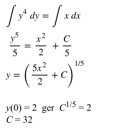
Separabla diffekvationer
förstår ej hur konstanten C blir c/5 när de tar fram primitiv i facit i andra steget. Jag får det bara till C, vart tänker jag fel?


Primitiv av x är väl x^2 / 2 + c (och inte c/5?) ?
är en godtycklig konstant precis som . Du kan välja att skriva , eller vad du vill eftersom alltihop blir godtyckliga konstanter. Anledningen till att man gjort så här i facit är antagligen att man vill slippa ha när man ska lösa ut för .
AlvinB skrev:är en godtycklig konstant precis som . Du kan välja att skriva , eller vad du vill eftersom alltihop blir godtyckliga konstanter. Anledningen till att man gjort så här i facit är antagligen att man vill slippa ha när man ska lösa ut för .
Okej men om jag väljer att ha C d blir svaret sen 32/5 i så fall, då blir det väl ett annat svar/tal eller funktion elr vad det kallas? Är båda rätt ändå?
Du kan räkna med bara , men du bör komma fram till samma svar.
AlvinB skrev:Du kan räkna med bara , men du bör komma fram till samma svar.
Okej men om jag räknar med bara C så får jag villkoret
y(0) = 2 till 2 = (5C)^(1/5) och löser jag ut C får jag 32/5 och inte 32
vad kan jag ha missat här?
Maremare skrev:AlvinB skrev:Du kan räkna med bara , men du bör komma fram till samma svar.
Okej men om jag räknar med bara C så får jag villkoret
y(0) = 2 till 2 = (5C)^(1/5) och löser jag ut C får jag 32/5 och inte 32
vad kan jag ha missat här?
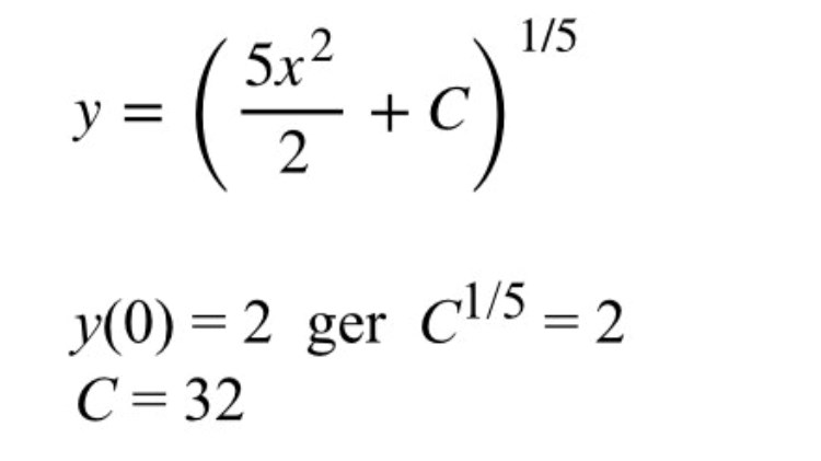
Värdet på C spelar ingen roll, det är det slutliga uttrycket för y som är det viktiga. Vad får du för y?
Laguna skrev:Maremare skrev:AlvinB skrev:Du kan räkna med bara , men du bör komma fram till samma svar.
Okej men om jag räknar med bara C så får jag villkoret
y(0) = 2 till 2 = (5C)^(1/5) och löser jag ut C får jag 32/5 och inte 32
vad kan jag ha missat här?
Värdet på C spelar ingen roll, det är det slutliga uttrycket för y som är det viktiga. Vad får du för y?
Eftersom jag får annat tal på C får jag olika funktioner och olika värden på y, Får detta

men i svaret är det 32 på C och inte 32/5 som jag får, förstår ej vart det blir fel
Stämmer y med facit?
Laguna skrev:Stämmer y med facit?
Nej

Maremare skrev:Laguna skrev:Stämmer y med facit?
Nej
På ditt papper står det ju 5C innanför parenteserna, och då får du också 32 där med ditt värde på C. Det är bara sista raden som är fel.
Laguna skrev:Maremare skrev:Laguna skrev:Stämmer y med facit?
Nej
På ditt papper står det ju 5C innanför parenteserna, och då får du också 32 där med ditt värde på C. Det är bara sista raden som är fel.
Okej nu är jag med, tusen tack