3
svar
182
visningar
mimitae behöver inte mer hjälp
Separabla differentialekvationer

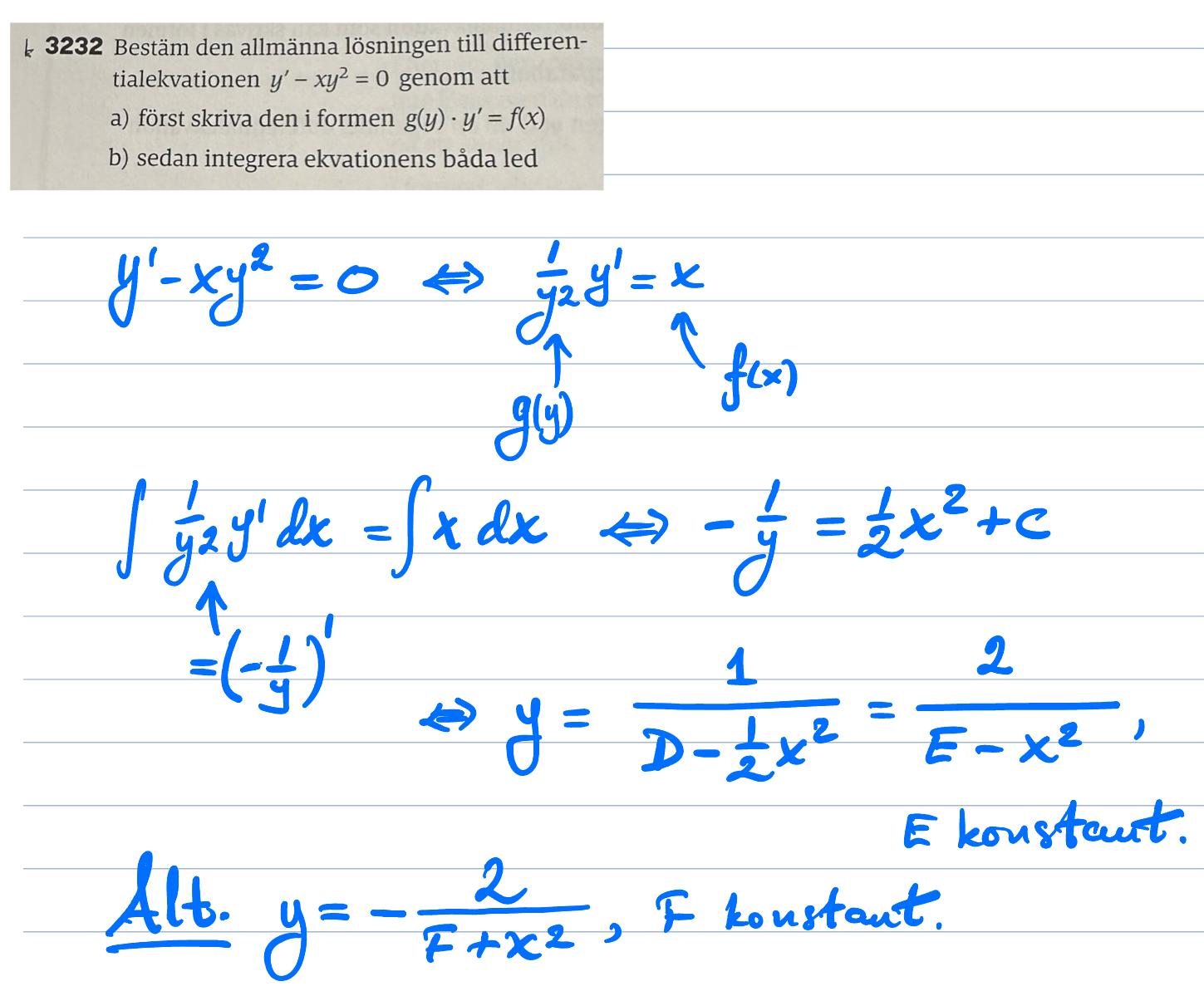
Hej! Jag förstår inte hur jag ska lösa b)-uppgiften? Jag löst a) och fått y’ / y2 = x
Facit säger y = -2 / (x2 + D). Hur ska jag gå tillväga dit??
Som jag har räknat ovan. Sedan kan man svara på olika sätt beroende på vilka tecken man vill ha. Facit ger inte det enda rätta svaret utan det finns olika former av samma funktion.

