1
svar
128
visningar
Serie, hur vet man att den inte går mot noll

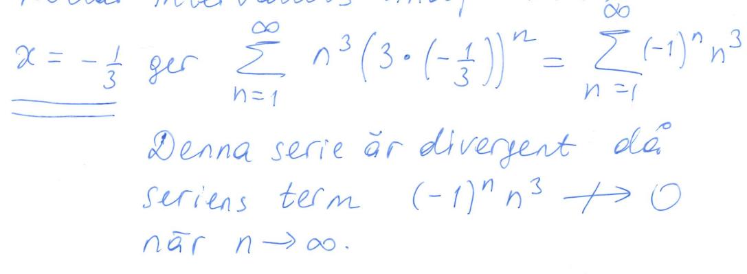
Jag är lite förvirrad angående hur man får att serien inte går mot noll... Jag förstår att n^3 går mot oändligheten när n går mot oändligheten, men det känns som att (-1)^n alternerar och att det borde gå med Leibnitz kriterium, men samtidigt har jag insett att serien inte stämmer in för Leibnitz kriterium. Så hur ska man egentligen tänka för att veta att den inte går mot 0?
Förutsätter att du skrivit av rätt. Det som då ska upphöjas till n är 3•(-1/3) som ju är lika med (-1) och (-1)n går inte mot 0 när n går mot oändl.