Serie med godtyckliga termer, konvergent eller ej
Hej,
ska lista ut om serie konv eller ej

Funderar på om jag kan använda

Rent intuitivt verkar ak vara avtagande men lite svårt att kunna räkna ut. Dock går gränsvärdet av ak mot oändligheten så läger ner den idén.
Testar att utveckla serie för att se om jag kan ta ut termer.

Får att serien är positiv efter omskrivning och att den verkar avtagande. Enligt sats behöver serien vara begränsad (nedre begränsad i detta fall). Vet dock inte hur jag ska ta mig vidare. Testade med integralkrit men verkar inte lösa problemet.
Jag tycker ak ser ut att växa.
Jag blandar ihop lite med talföljder i mitt tanksätt. Ja, serien är växande och skillnaden mellan ett steg till ett annat blir väl avtagande. alltså talföljden är avtagande. Men det hjälper mig nog inte ändå.
Så serien är växande och positiv. Men hur går jag vidare?
Om |ak| växer kan väl serien inte vara konvergent?
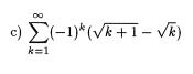
I Leibniz sats är det i detta fall uttrycket 0 <= ak= sqr(k+1)-sqr(k) = (k+1-k)/(sqr(k+1)+sqr(k))=1/(sqr(k+1)+sqr(k)) som ska avta, vilket det uppenbarligen gör och går mot 0 gör det också. Tanken verkar alltså god.
Aha, jag har fel.
ah, ja det gör det. men när jag har försökt förenkla ak. Har jag gjort något fel då jag får
Vad menar du med att du försöker förenkla ? Är du stressad över att de använder istället för i satsen och substituerar ?
(Om det är det du gör ska du alltså visa att termerna avtar och att ) vilket inte är överdrivet svårt.)
sorry, är lite rörig nu. Missuppfattade satsen. jag har ju summerat och fick då enligt nedan

men jag ska ju inte summera ak och ta gränsvärdet utav det. Tack för hjälpen alla!
För att använda satsen så behöver du visa tre saker:
värdena ak är positiva
{ak} är en avtagande följd
ak går mot 0 då k går mot oändlighet.
Om detta är uppfyllt så gäller satsen.
Du borde kunna visa att detta blir uppfyllt om du läser igenom tråden igen.