4 svar
232 visningar
destiny99 Online 10971
Postad: 12 okt 2025 13:30 Redigerad: 12 okt 2025 13:45

Serielösning nära ordinära punkten

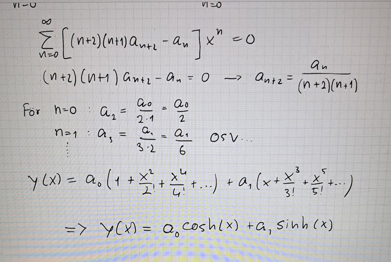
I sista bilden fick jag min recurrence relationen i uppgift 7 i a)  , men målet är att skapa en serielösning för b) likt andra bilden som de gjort och jag vet inte hur man gör det. 

Laguna Online 31967
Postad: 13 okt 2025 16:46

Vad är "ordinära punkten"?

destiny99 Online 10971
Postad: 13 okt 2025 17:02 Redigerad: 13 okt 2025 17:03
Laguna skrev:

Vad är "ordinära punkten"?

Det är punkten x0=1 som ges efter kommateckneg i uppgifg 7.

Laguna Online 31967
Postad: 13 okt 2025 18:23

Jag undrar vad uttrycket betyder.

destiny99 Online 10971
Postad: 13 okt 2025 18:49
Laguna skrev:

Jag undrar vad uttrycket betyder.

Vilket uttryck?

Svara
Close