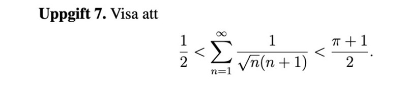
Serier
Jag behöver hjälp med den här uppgiften

Det står i facit att man ska använda integraluppskattning.
Och jag läste någonstans att man skulle använda . Alltså för att bevisa att serien är mindre än .
Men när jag gör så får jag att serien också är lika med (π+1)/2 och är alltså inte mindre
Du integrerar en avtagande funktion, eller hur?
Jämför funktionskurvan med de värden du summerar. Över? Under? Lika?
Bubo skrev:Du integrerar en avtagande funktion, eller hur?
Jämför funktionskurvan med de värden du summerar. Över? Under? Lika?
Hmm jag vet inte riktigt. Eller de borde väl vara samma?
Förklara gärna
Som vanligt: Rita!
Smaragdalena skrev:
Som vanligt: Rita!
Här har jag ritat, men när man gör att det är en översimma så är ju serien större än integralen och när man gör undersumma borde ju serien vara mindre än integralen?
(Undersumma): men det jag inte förstår är att när jag kollar på en video om detta så säger han att man ska räkna från n=2 på serien eftersom första rektangeln hamnar över integralen, men det gör den väl inte? Så jag tänker att undersumma borde vara = översumma?
Du måste såklart vara uppmärksam på vad som gäller för just den här uppgiften.
Exakt vilka termer ingår, exakt vilka inegrationsgränser har du, och så vidare.
Bubo skrev:Du måste såklart vara uppmärksam på vad som gäller för just den här uppgiften.
Exakt vilka termer ingår, exakt vilka inegrationsgränser har du, och så vidare.
Okej men i detta fall, stämmer det då att översumma-integralen är lika med undersumma-integralen?
Och hur vet man när man ska lägga på tex f(1) eller f(n)
Smaragdalena skrev: