Serier.
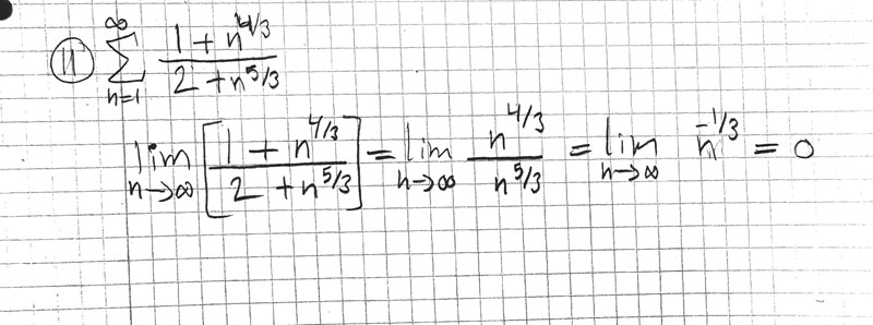
Jag räknade ut gränsvärdet som blir 0. Så summan konvergerar. Facit: Den konvergerar.
Men stämmer min lösning?
Om du menar att gränsvärdet av summanden är 0 så är din lösning inte korrekt.
Sorry skrev fel i inlägget. Min lösning:
sinx<x om x>0 är en bra olikhet.
parveln skrev:Om du menar att gränsvärdet av summanden är 0 så är din lösning inte korrekt.
Ignorera den föregående bilden... Helt fel uppgift..

Asså du har rätt i att det går mot 0, men det räcker inte för att summan ska vara konvergent. Använd någon av metoderna vi pratade om i tidigare inlägg.
? Den går också mot noll så då kan man dividera den ena genom den andra?
Om din metod fungerade skulle man kunna visa att den harmoniska serien, dvs summan av 1/n är konvergent eftersom 1/n --->0. Som bekant är den divergent. Gör istället som föreslagits och använd abs(sin(x)) <= x. Då ser du att abs(sin(1/n^2)) <= 1/n^2. Så det räcker atr visa att summan då n går från 1 till oändligheten av 1/n^2 konvergerar eftersom din serie är mindre än denna. Att den serien konvergerar bör vara känt och följer ur t ex en integraluppskattning.