Summa av en Serie
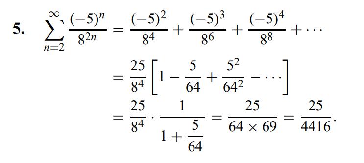
Jag försökte med att skriva om den till en geometrisk serie och använda formeln men facit gör annat. Kan någon förklara facit?
Edit: Jag tror att de också försöker med samma formel, med jag hänger inte med på stegen :(

De bryter ut ett gemensam faktor som finns i alla termer.
Den summan som är inuti [] kan skrivas som följande:
beerger skrev:De bryter ut ett gemensam faktor som finns i alla termer.
Jag är helt med på det.
Den summan som är inuti [] kan skrivas som följande:
Kan man inte istället skriva summan inom [] som en summa ??
Ok!
Det kan du absolut göra! Även n = 0 och (-5/64)n mm. konvergerar till samma värde. Var mer för att matcha med startvärdet i ursprungsserien. Smaksak bara! :)
beerger skrev:Det kan du absolut göra! Även n = 0 och (-5/64)n mm. konvergerar till samma värde. Var mer för att matcha med startvärdet i ursprungsserien. Smaksak bara! :)
Ok! Då förstår jag konceptet! Tack! :) Kommer nog fler uppgifter snart, I guess :')