2
svar
60
visningar
karlstroom behöver inte mer hjälp
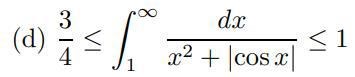
Jämförelse av generaliserade integraler
Visa att:

Har tänkt såhär:
Då har jag visat att integralen är 1, förstår däremot inte hur jag ska visa att integralen är
och , har även testat för andra värden i nämnaren, t.ex för stämmer ej olikheten samt med får jag integralen till
Tips:
Tack! :)