0
svar
22
visningar
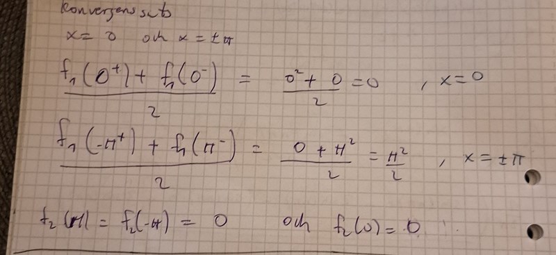
Seriernas konvergens



Hej
Kan någon förklara vad facit menar med att fourierserien för f1(x) konvergerar mot x^2? Jag fick att fourierserien till f1(x) konvergerar mot 0 i punkten x=0 samt konvergerar pi2/2 i punkten x=-+pi så jag vet inte om jag och facit missar varandra. De pratar inte om f2(x) konvergens som jag räknade ut.