Series
Fråga: Give the numerical value of the series
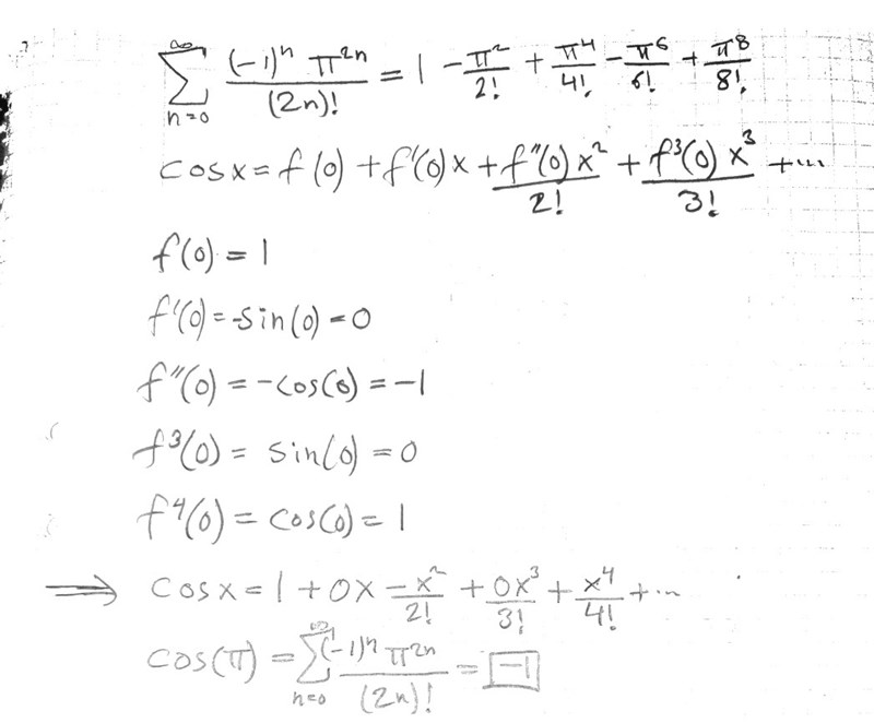
När jag skriver de första termerna ser det ut som en cosinus-maclaurin serie (En serie kring noll). Jag tror att min lösning är rätt, men hur ska man motivera att det numeriska värdet är ?
Min lösning:

Hur skulle en Taylor utveckling av
se ut och vad är dess realdel?
Vi har inte gått igenom något i den stilen. Så jag utgick från det vi lärde oss. Är det fel menar du?
Oj jag såg inte att du hade en lösning under spoilern men den lösningen stämmer fint.
Du kan ignorera min kommentar som kanske förutsätter lite komplex analys.
Ok! En fråga bara, kan man motivera (andra raden) genom att skriva att "summan ser ut som en maclurin serie och jag det visar sig vara cos x" osv...?
Ja det tycker jag absolut att du kan göra.
Någonstans så borde man motivera varför funktionen faktiskt är lika med sin Maclaurinserie, det gäller ju definitivt inte alla funktioner.
JohanB skrev:Någonstans så borde man motivera varför funktionen faktiskt är lika med sin Maclaurinserie, det gäller ju definitivt inte alla funktioner.
Jag vet inte om jag förstod dig rätt, menar du att motivera varför cos x ser ut som den gör?
Du säger att cos x=f(0)+f'(0)x+..., dvs att du tittar på funktionen och säger att funktionen är lika med sin Taylorserie (dvs Taylorserien är inte bara en beskrivning av egenskaper i 0 utan beskriver funktionen perfekt överallt). Det stämmer att cos x faktiskt har den egenskapen, men det är inte självklart.
Vi kan exempelvis tänka oss en funktion som ser ut som cos x då |x|<pi/2, och är 0 annars. Den har ju samma Maclaurinserie som cos x (då den bara bryr sig om derivatorer i 0 som ju sammanfaller), men det är ju uppenbarligen inte samma funktion så Maclaurin bestämmer inte funktionen.