Sfäriska koordinater förenkling (flervariabelanalys)
Hejsan!
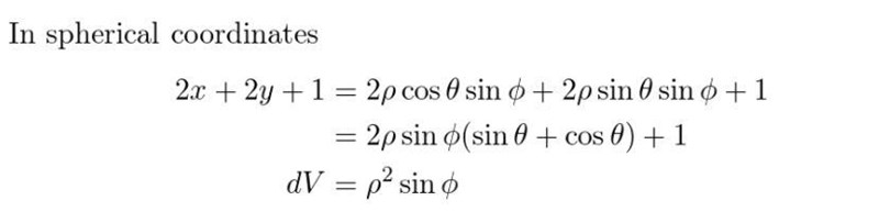
Jag håller på med flervariabelanalys, behöver bara hjälp för att förstå förenklingen de har gjort här. Förstår koordinat bytet då:
x= R sin (phi) cos (thetha)
y= R sin (phi) sin (thetha)
z= R cos (thetha)
Med andra ord
Hur förenklar de just "2R sin phi (sin thetha + cos thetha) +1"
till R2 Sin (phi)

De har inte förenklat, de har skrivit ner skalan på raden efter. Tror det kommer från determinanten på koordinatbytet. Och jag tror att du har blandat ihop de grekiska bokstäverna, det ser konstigt ut.
Jaha just det. Det var dumt av mig, determinanten är såklart R2 Sin phi, jag trodde det var ännu en förenkling, det var dåligt redovisat där också med lika med tecknet under varandra. Grekiska bokstäverna är rätt skrivet. Tack!