9 svar
1460 visningar
topclass164 behöver inte mer hjälp
topclass164 64 – Fd. Medlem
Postad: 7 feb 2020 21:50 Redigerad: 7 feb 2020 22:14

Sigma, matte 5

Hej, 

jag har löst en uppgift men vill veta om det är rätt. 

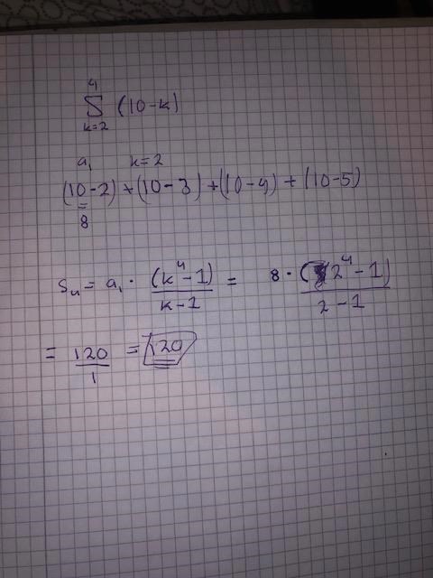
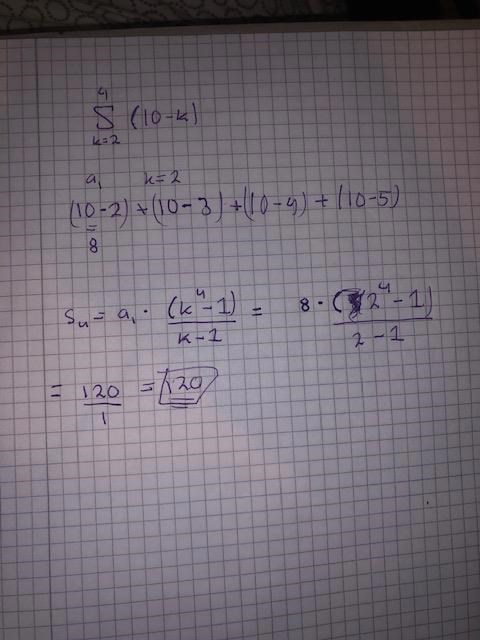
n=4

 ∑ (10-k)

k=2

mitt svar blev 120 med hjälp av formeln för geometriska summor. Är det rätt?

Dr. G 9618
Postad: 7 feb 2020 21:59

Summan är lite oklar. Kan du använda formeleditorn eller ta en bild och lägga upp?

Smaragdalena 78892 – Avstängd
Postad: 7 feb 2020 22:04

Hur är frågan formulerad? Jag fattar ingenting.

topclass164 64 – Fd. Medlem
Postad: 7 feb 2020 22:11
Dr. G skrev:

Summan är lite oklar. Kan du använda formeleditorn eller ta en bild och lägga upp?

topclass164 64 – Fd. Medlem
Postad: 7 feb 2020 22:12
Smaragdalena skrev:

Hur är frågan formulerad? Jag fattar ingenting.

Dr. G 9618
Postad: 7 feb 2020 22:47

(10 - 2) + (10 - 3) + (10 - 4) = 21

Var hittar du en geometrisk summa?

topclass164 64 – Fd. Medlem
Postad: 7 feb 2020 23:00
Dr. G skrev:

(10 - 2) + (10 - 3) + (10 - 4) = 21

Var hittar du en geometrisk summa?

Ja, det var det jag inte heller förstod. Hur formulerar man talföljden i detta fall?

Dr. G 9618
Postad: 7 feb 2020 23:20

Talföljden är formulerad i frågan. 

Om du vill så har du tre likadana termer (3*10) minus en aritmetisk summa med tre termer (2 + 3 + 4).

Russell 366 – F.d. Moderator
Postad: 8 feb 2020 03:47 Redigerad: 10 feb 2020 07:31
topclass164 skrev:
Dr. G skrev:

(10 - 2) + (10 - 3) + (10 - 4) = 21

Var hittar du en geometrisk summa?

Ja, det var det jag inte heller förstod. Hur formulerar man talföljden i detta fall?

Jag får känslan av att du fortfarande håller på att lära dig hur sigmatecknet fungerar och att det är därför det blir lite knas. The good news är att det är enklare än du gör det. :)

Sigmatecknet är bara som ett kortfattat sätt att skriva en summa. Om vi t.ex. vill uttrycka summan 20+21+22+23+24+25+26+27 så kan vi istället skriva k=072k, och om vi vill uttrycka 5+6+7+8+9+10 så kan vi t.ex. skriva k=510k istället. Redan dessa enkla summor är ju i alla fall lite jobbiga att skriva ut term för term men med många summor vore det hemskt jobbigt, som t.ex. den oändliga summan 1+12+13+14... vilken vi istället kan använda sigmasymbolen för att skriva som k=11k.


Sigma har alltså inget speciellt att göra med just aritmetiska eller geometriska summor eller med några andra formler eller beräkningar, utan det är bara ett sätt att skriva att ett gäng termer med liknande form ska adderas. När vi har summan k=24(10-k) och ska skriva ut termerna i den så kommer alltså allihop att ha formen (10-k) där vi sätter in k=2 i första termen, k=3 i andra termen och k=4 i tredje termen. Sedan är vi klara eftersom summan bara går från 2 till 4. Då får vi alltså att

k=24(10-k)=(10-2)+(10-3)+(10-4)=8+7+6=21.

Smaragdalena 78892 – Avstängd
Postad: 8 feb 2020 08:16

topclass164, det står i Pluggakutens regler att man inte får "redigera ihjäl" ett inlägg som har blivit besvarat. När jag svarade i tråden stod det k=24 under summatecknet och n=24 ovanför, så då var det verkligen obegripligt. Nu står det k=2 under summatecknet  och n=24 ovanför, och man kan gissa att du menar k=2 under och k över (fast det inte skall vara något n där). /moderator

Svara
Close