Jag läste den nyligen. Det här var ett misstag.
Hej Päivi,
Du glömde fråga något!
Jag tycker att du räknat rätt på a) och b), men jag tycker att du skriver fel i din redovisning av uppgift b).
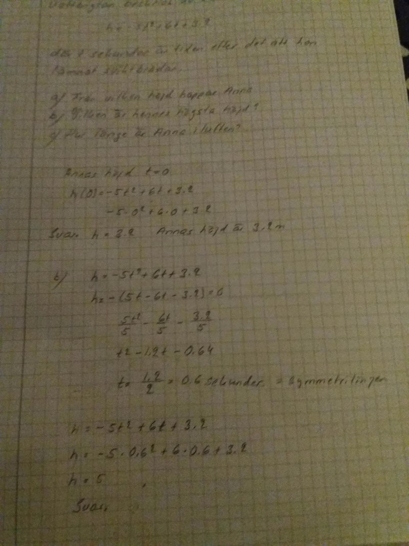
Symmetrilinjen ligger mitt emellan rötterna, så du kan dela p-termen med 2 (dvs 1.6/2), men det är inte så du har skrivit.
Vad har du fått för rötter och varför står det t= symmetrilinjen?
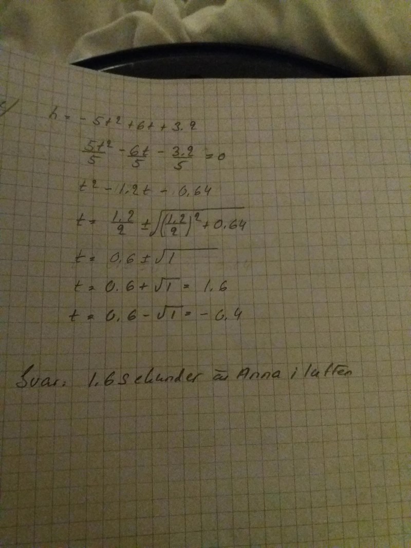
På uppgift c) kan du använda att höjden över vattenytan är 0 då Anna slår i vattnet. Ekvationen h(t)=0 ger dig hur länge Anna har varit i luften (använd den positiva roten).
Nu ska Guggle sova, så någon annan får hjälpa dig vidare, annars får du hjälp av Guggle imorgon!
Jag tar bild med en gång. Vänta någon kort minut Guggle.
När det gäller symmetri linjen har jag tagit
från 6t/5 och fått 1.2.
Sedan har jag tagit halva av den och fått 0,6
eftersom det gällde symmetri linjen, behövde man inte veta mera än så. Titta på c uppgiften, där har jag löst den helt. Då fick jag fram nollställen . Där var jag tvungen få fram tiden.
Jag hade problem med c uppgiften, men den klarade jag av ändå.
Hej Päivi,
Jag förstår hur du beräknade symmetrilinjen. Du tog termen som står framför t, bytte tecken och delade med två. Detta är helt rätt.
Symmetrilinjen ligger alltid vid t=-p/2 för ekvationen
Jag trodde att du försökte lösa ekvationen och att det var det du hade problem med.
Nu ser jag också att du löste hela ekvationen med pq-formeln i c) uppgiften, mycket bra!
Du har rätt svar och jag förstår din redovisning.
Det bra Guggle. Tack i alla fall Guggle!




