3
svar
114
visningar
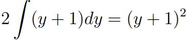
Simpel integral
Hur kan detta stämma? 
När jag löser det gör jag på följande sätt . Jag antar att dom gör på följande sätt . Jag är förvirrad.
På deras sätt: (y+1)2+C = y2+2y+1+C
På ditt sätt: y2+2y+C
Så ni skriver bara integrationskonstanten på olika sätt.
Laguna skrev:På deras sätt: (y+1)2+C = y2+2y+1+C
På ditt sätt: y2+2y+C
Så ni skriver bara integrationskonstanten på olika sätt.
Men sen finns det också ett begynnelse värde, . Och men min ekvation får jag c till och i deras blir , så svaret blir inte samma. Men är mitt ändå rätt då eller?
Ja, om man kallar deras integrationskonstant för C1 och din för C2 så är C2 = C1 + 1, så allting är rätt.