0
svar
212
visningar
Samtidig diagonalisering
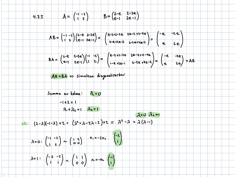
Hej, jag försöker simultan diagonalisera A och B i en uppgift, har checkat kommutativiteten och har räknat ut egenvärden och egenvektorer för A. Hur fortsätter jag med B?
Hur fås [B]_D matrisen i exempel 1?

