sinus cosinus
vart kan jag läsa mer om hur man räknar ut dom till grader tex 30°+n*360° ?

Här finns en förklaring. :)
Smutstvätt skrev:Här finns en förklaring. :)
jag förstår 30°+n*360° men förstår inte hur varför dom tog 150°+n*360° eller 180°-30°+n*360°? eller varför har dom skrivit 30°+n*360° 2 gånger?
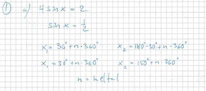
Rita upp enhetscirkeln och linjen y = 2/4 = ½.
Ser du att det finns två skärningspunkter (på varje varv)?
Om du behöver mer hjälp: Lägg upp bilden här och fråga igen.
Smaragdalena skrev:Rita upp enhetscirkeln och linjen y = 2/4 = ½.
Ser du att det finns två skärningspunkter (på varje varv)?
Om du behöver mer hjälp: Lägg upp bilden här och fråga igen.
ok jag förstår att det finns 2 lösningar 150°+n*360° och 30°+n*360° men varför har dom skrivit 4 alternativ?
Om man skriver SVAR: framför den andra raden så blir det tydligare (om den som har skrivit det här tänker likadant som jag kulle ha gjort).