4
svar
162
visningar
Leonhart behöver inte mer hjälp
Sinus invers

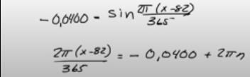
Varför blev högerled i rad 2 -0,0400+2π*n? Man ska väl ta sin⁻¹(0,0400)?
Precis - det ska man
Henning skrev:Precis - det ska man
Varför får han fram rätt svar om han gör fel i uträkningen? https://www.youtube.com/watch?v=USPH9fwkYZg
Ja, det var lurigt. I just detta fall blir sin invers för -0,040 detsamma i radianer. Testa med din räknare så ser du
För mycket små tal så är sin(x) ungefär lika med x.