1
svar
179
visningar
dilan22 behöver inte mer hjälp
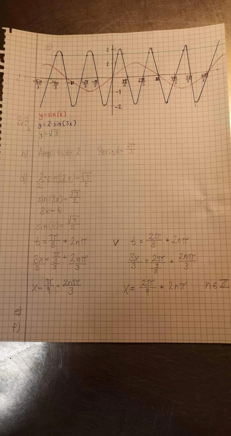
Sinuskurva
hej jag skulle behöva hjälp med de två sista
uppgifterna(e)(f).
c) rita en linje y=i figuren. Markera de av lösningar till ekvationen 2×sin(3x)=som finns med i bilden.
D)Lös ekvationen
e)hur ser du att svaret på (d) stämmer med bilden i (c)
f)Skriv upp de fyra lösningar till ekvationen som ligger närmast x=0, svaret ska stämma med (c) 0ch(d)

hur kan jag se om det stämmer med grafen?
tror jag löste det själv
e) skär funktionen ,så det stämmer med c uppgiften
f)