2 svar
116 visningar
CooltMedKemi behöver inte mer hjälp
CooltMedKemi 253
Postad: 25 jun 2020 23:29

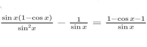
Sinx(1-cosx)

Hej alla! 

Hur har dem gått tillväga när dem kom fram till det samband som kommer i nästa steg?

Ett stort tack på förhand!

Mvh

cjan1122 416 – Fd. Medlem
Postad: 25 jun 2020 23:59 Redigerad: 26 jun 2020 00:00

Förkorta bort sin x i första termen så kan du skriva ihop på gemensamt bråkstreck.

CooltMedKemi 253
Postad: 26 jun 2020 09:18

Ha ha, trött var jag och såg inte detta, tack!!

Svara
Close