Till att börja med så är det svårt för oss att veta vilka tre metoder som uppgiften hänvisar till. Vi är, som du kanske har märkt vid det här laget, väldigt dåliga på tankeläsning.
Det vore därför bra om du kunde ladda upp en bild som visar dessa.
-------------------------------------
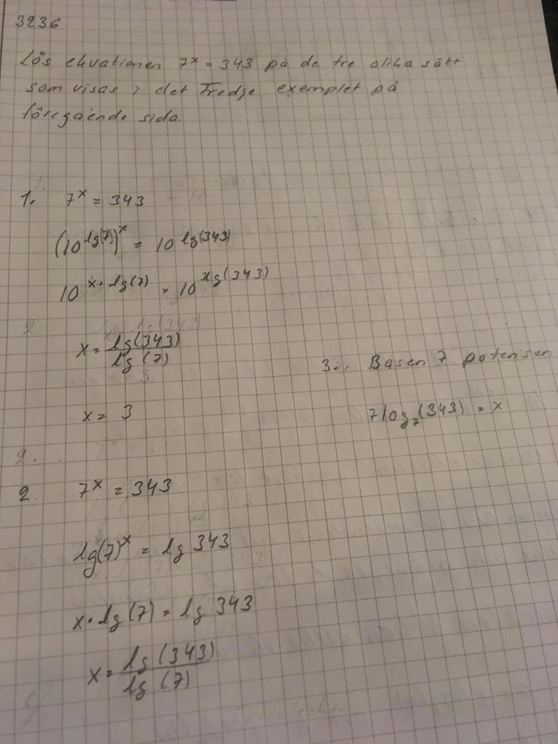
I väntan på detta så kan jag kommentera att du har gjort ett slarvfel i din första lösning.
Det som står på första raden säger inte samma sak som det som står på andra raden (se bild):

Om du vill ta 10^VL och 10^HL så får du istället följande ekvation:
--------------------------------------------
Din andra lösning stämmer bra.
-------------------------------------------
I din tredje lösning är det som sagt oklart för oss vilken metod de vill att du använder.
Det står bara så i boken. Man får väl hitta på antagligen. 

Jag var tvungen be om hjälp.?
Jag tackar för hjälpen bara för de som hjälper.
Päivi, vi vet fortfarande inte vilka de tre metoderna är. Du behöver alltså ta ett foto av FÖRRA sidan i din matebok, där de tydligen har en förklaring till detta. Det är inte till minsta hjälp till oss att få ett foto av uppgiften där det står att vi skall titta på det tredje exemplet på förra sidan.
Dessutom är det rent ohyfsat av dig att klaga på att ingen svarar på dina frågor efter midnatt. De flesta av oss sover då.
Efter midnatt behöver ingen svara. Det har jag inte ens väntat och kommer inte vänta. Jag sätter uppgifterna som jag har frågor om de tiderna och sedan får vi vänta när det är morgon och när alla har vaknat upp. Jag kan ladda frågor, men väntar inga svar i midnatt, men är någon vaken så är det ok ändå.
Smaragdalena skrev :Päivi, vi vet fortfarande inte vilka de tre metoderna är. Du behöver alltså ta ett foto av FÖRRA sidan i din matebok, där än de tydligen har en förklaring till detta. Det är inte till minsta hjälp till oss att få ett foto av uppgiften där det står att vi skall titta på det tredje exemplet på förra sidan.
Dessutom är det rent ohyfsat av dig att klaga på att ingen svarar på dina frågor efter midnatt. De flesta av oss sover då.
Själv tror jag att det handlar om tal med andra baser än 10 och där har jag lite problem med. Jag är inte än säker på de.
Hej Päivi. Vi vet fortfarande inte vilka tre exempel som uppgiften hänvisar till. Som jag skrev i går kväll:
Yngve skrev :
Till att börja med så är det svårt för oss att veta vilka tre metoder som uppgiften hänvisar till. Vi är, som du kanske har märkt vid det här laget, väldigt dåliga på tankeläsning.
Det vore därför bra om du kunde ladda upp en bild som visar dessa.
Vi kan inte hjälpa dig om vi inte får reda på vad uppgiften gäller.
Där hade jag också problemet. Det är antaligen med andra tal baser plus det som jag skrev. Två av de är mera rätt enligt facit. Tredje var jag på rätt väg att tänka, men det tog stop. Det skulle vara olika talbaser.
Päivi skrev :Där hade jag också problemet. Det är antaligen med andra tal baser plus det som jag skrev. Två av de är mera rätt enligt facit. Tredje var jag på rätt väg att tänka, men det tog stop. Det skulle vara olika talbaser.
"Antagligen med andra talbaser"?
Tittade du ens på de tre exemplen som uppgiften hänvisade till?
Det fanns inte om några exempel på något. Man skulle komma på det själv. Där blev jag fundersam, men hade ändå rätta tankar. Det är sista uppgiften som jag fick problem med och det är med andra talbaser.
Kan du lägga upp en bild som visar "det tredje exemplet på föregående sida"? Det här äer fjärde gången vi ber dig om detta. Vi kan inte hjälpa dig utan denna info.
Fanns det alltså inget exempel på sidan innan uppgiften? Då står det fel i boken. Vilken bok är det?

Det här är matte Origo 2c. Syns bilden väl? Då får jag försöka på nytt ta kort och byta istället.
Det syns alldeles utmärkt, synd bara att vi skulle behöva be om det 5 ggr innan du la upp den. Är det den första lösningen i exemplet du har problem med?
Nej, med sista.
Ja där är ju exemplen. Vad bra!
Men det är väldigt tråkigt att vi var tvungna att be dig om detta 5 gånger under 10 timmars tid.
-----------------------
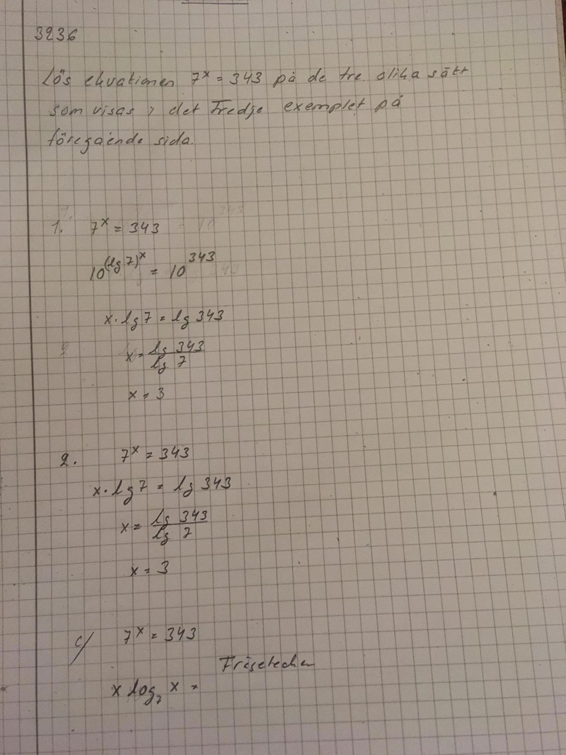
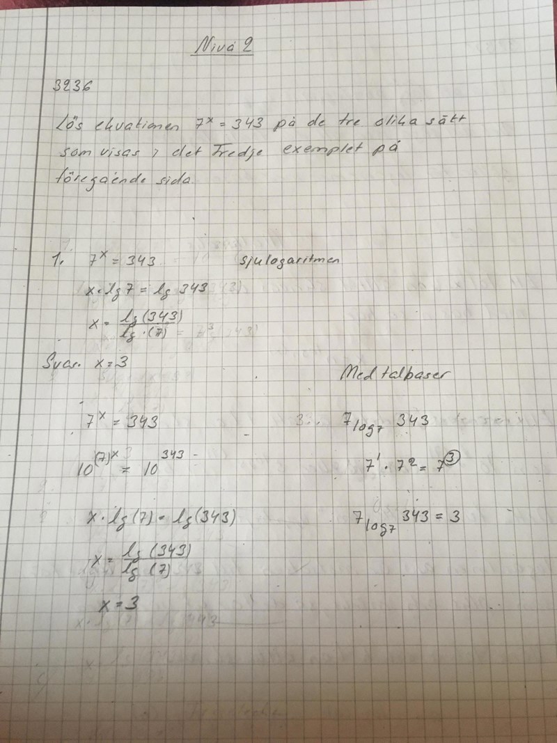
Nåväl, i exemplen framgår det att
- Metod 1 bör vara att logaritmera bägge led med 7-logaritmen, dvs
- Metod 2 bör vara att logaritmera bägge led med 10-logaritmen, dvs
- Metod 3 bör vara att skriva om baserna i bägge led (dvs 7 i och 343 i ) till basen 10, dvs
Kommer du vidare då?
Tips: I sista uppgiften ska du sedan använda potenslagen i VL.
En ironisk kommentar borttagen. /moderator


