sjätte grads ekvation
Om man nu måste substituera och har gjort det
Om man nu har substituerat x^3. Man har en sjätte grads ekvation och måste använda andra grads ekvation för att få en hel del lösningar inklusive komplexa tal. hur ska man lösa ut t i detta fall?
Godmorgon Päivi,
Det är svårt att hjälpa dig när du ställer en så allmän fråga, jag tror att det är bättre att du postar själva ekvationen också.
Allmänt gäller att om du substituerat och fått ett värde på t, t.ex. så ska du lösa ekvationen
Detta är en ekvation som ger tre rötter i det komplexa talplanet. Ekvationen kan vara svår att lösa om man inte läst ordentligt om komplexa tal ännu.
Mitt förslag är att du postar ekvationen så kan jag eller någon annan hjälpa dig vidare.
Det ska jag göra. Jag har löst uppgiften, men tänkte om man ändå skriver alla lösningar även det nu krävs bara två lösningar. De två har jag klarat av och ännu fler, men är osäker på en av dem.
Därför ställde jag en allmän fråga. Jag känner att jag måste ha något i mig först, innan jag ska sätta en bild till trådet. Jag har inte ätit frukost eller tagit kaffe.
Jag håller på stort sett hela tiden med matte och tycker att matte är roligt. Det är också en hobby att få hålla på med det. Det är så roligt tycker jag. Jag ser inte matte som tråkig eller att den är jobbig på något sätt. Man har roligt med matten. Vi hörs efter ett tag, när jag har fått något i mig. Jag kommer med en bild.
Ha det så bra så länge.
Själva substitutionen är en ekvation.
t = x^3
Tack så mycket!
Hej Päivi.
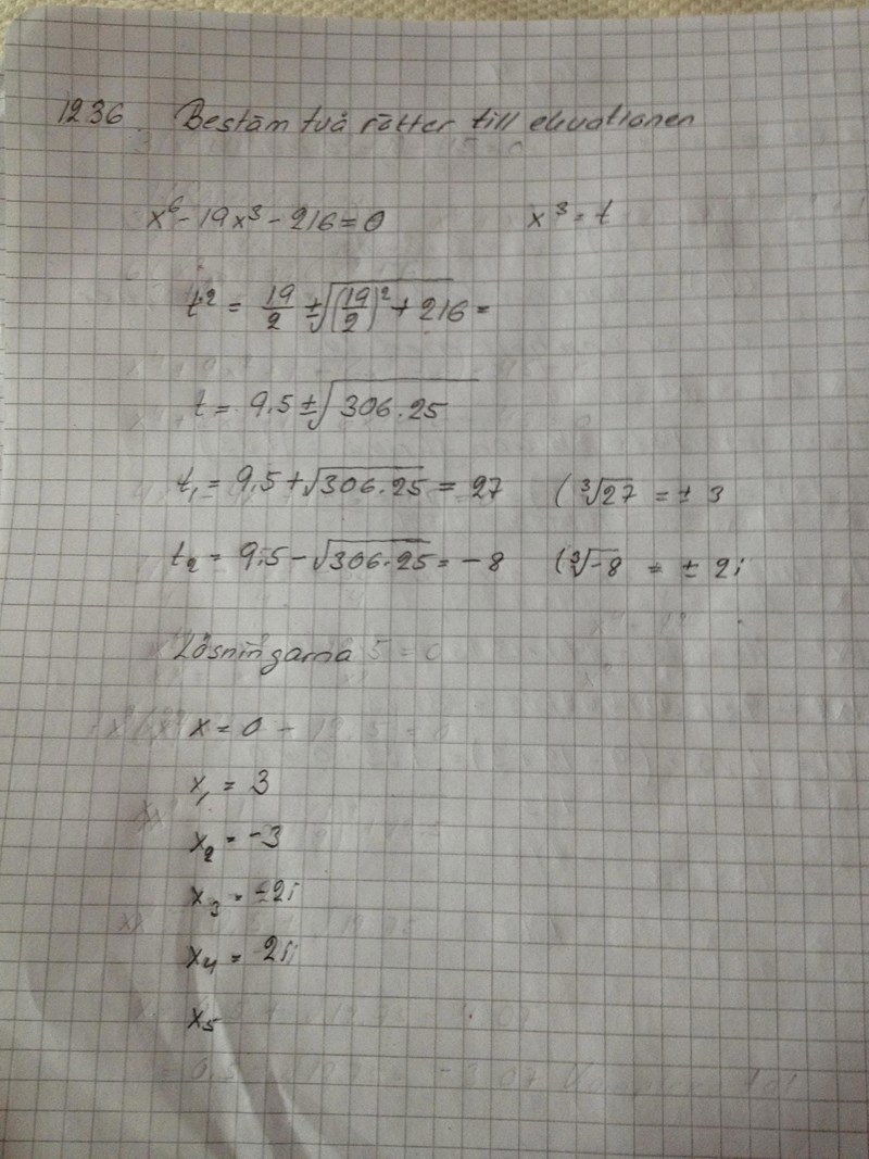
Till att börja med. Uppgiften gäller att bestämma två lösningar till ekvationen så du behöver bara hitta och ange två lösningar. Det finns två reella rötter som är enkla att hitta och fyra komplexa rötter som är svårare att hitta, iallafall med de metoder som ingår i Matte 3.
----------
Men du har gjort en hel del fel i din uträkning:
- När du har använt pq-formeln ska du inte skriva t^2 = ... (rödmarkerat). Detta har flera av oss påpekat flera gånger tidigare och vi kommer att fortsätta att säga det tills du slutar.
- Tredjeroten ur 27 är inte lika med plusminus 3 (blåmarkerat). Det borde du ha kontrollerat själv (3^3 = 27, men (-3)^3 = -27). Tredjeroten ur 27 är istället 3 och två komplexa tal (som är svåra att hitta med kunskaper från Matte 3).
- Tredjeroten ur -8 är inte lika med plusminus -2i (blåmarkerat). Det borde du ha kontrollerat själv ((2i)^3 = -8i och (-2i)^3 = 8i).Tredjeroten ur -8 är istället -2 och två komplexa tal (som är svåra att hitta med kunskaper från Matte 3).
- x = 0 är inte en lösning till originalekvationen (första grönmarkeringen). Var fick du det värdet ifrån?
De två lösningarna som är enkla att hitta är alltså 3 och -2. Kontrollera nu att de verkligen är lösningar till ekvationen.
Utöver dessa två finns det alltså fyra komplexa lösningar som är svåra att hitta. Det är därför de endast efterfrågar två lösningar.

Tack Yngve!
