Hej Päivi.
Du är väldigt envis med att skriva likhetstecken () där det ska vara ungefär lika med (), se markering nedan.
Jag är också väldigt envis med att påpeka detta. Vi får väl se vem som är mest envis ;-)

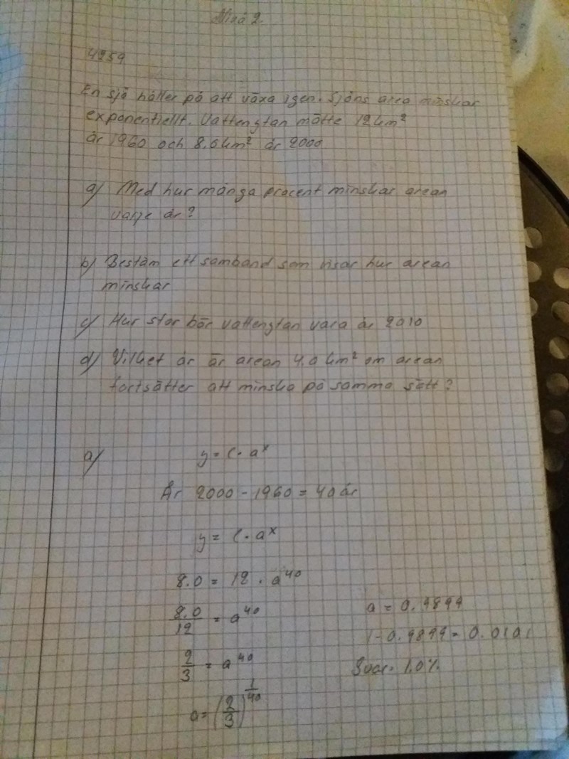
a-uppgiften:
Värdet på a, dvs förändringsfaktorn, är mycket riktigt ungefär lika med 0,98991, vilket innebär att den årliga minskningen är ungefär lika med 1,009 %, vilket kan avrundas till 1,0 % i detta sammanhang (två gällande siffror på sjöns area).
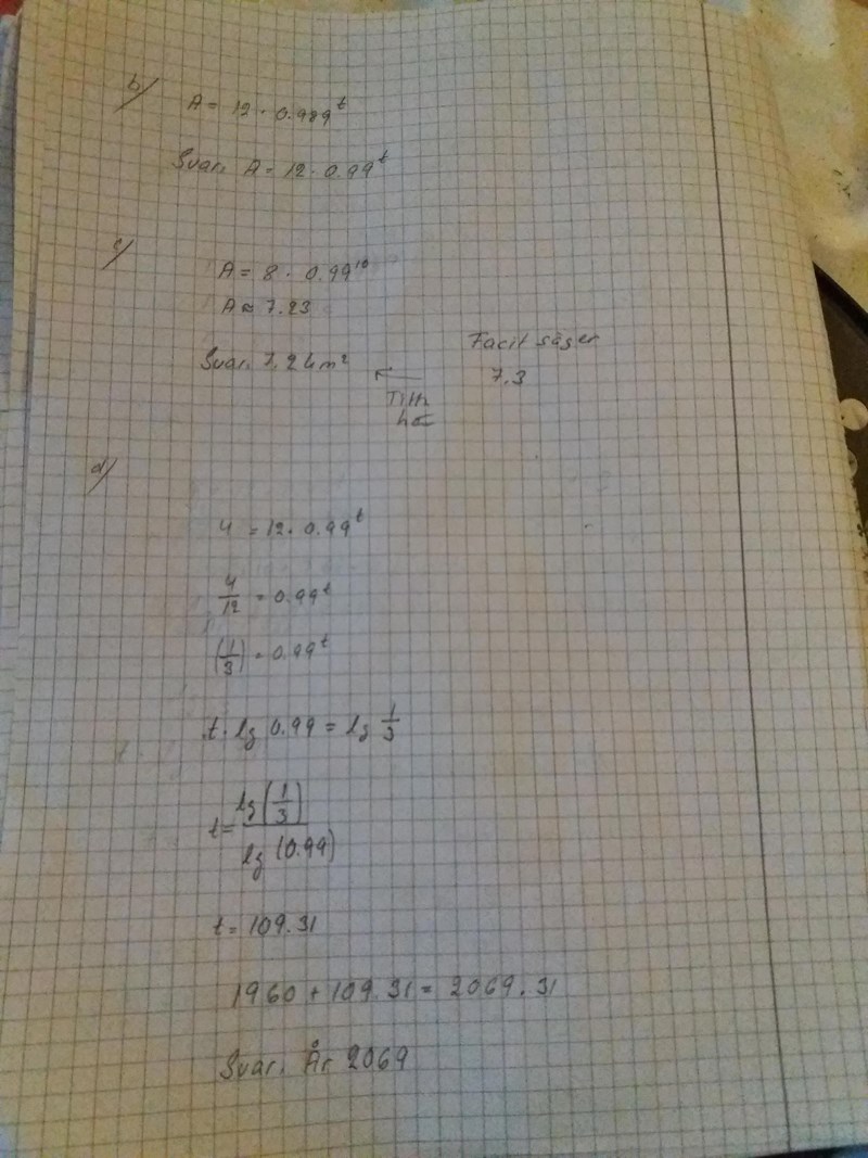
b-uppgiften:
Du har en korrekt formel, men du bör skriva vad storheterna i i din formel avser. Vad avser A? Vad avser t?
c- uppgiften:
Du har kommit fram till att arean är ungefär lika med , vilket inte stämmer. är ungefär lika med 7,24.
Orsaken till att de kommit fram till i facit är troligtvis att de har räknat med en förändring på 1 % under 50 år från 1960. är nämligen ungefär lika med 7,26 .
Jag tycker att ditt sätt att räkna är bättre (om du hade räknat rätt) och att det är fel i facit.
d-uppgiften:
Här är också svaret beroende på om man räknar från 1960 års area eller från 2000 års area.
Från 1960 års area: har lösningen , vilket ger svaret "Under år 2069".
Från 2000 års area: har lösningen , vilket ger "I slutet av år 2068" som svar.
På b uppgiften är A = area
t= tiden.
Yngve.
Tack för påpekande.
Päivi skrev :På b uppgiften är A = area
t= tiden.
Yngve.
Tack för påpekande.
Du bör även ange att enheten för A är och att t är antal år efter 1960.
Jag har ändrat på det, Yngve.
Tack för det här. Jag behöver hjälp med nästa uppgift.

