Skala mellan två kurvor
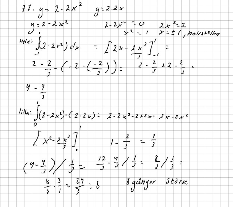
Kurvan y=2-2x^2 och x-axeln begränsar ett område som delas i två delar av linjen y=2-2x. Beräkna förhållandet mellan arean av den mindre delen och arean av den större delen.
Jag har försökt lösa både algebraiskt och med digitala verktyg, men får att förhållandet är 1:8, medan i facit står det att förhållandet är 1:7.
Min lösning:

Verkligen säker på att facit stämmer? Fick det till att den stora arean är 3 gånger större än lilla. Integral(2-2x,0,1)=1. Integral(2-2x^2,0,1)=1+1/3. Lilla blir 1/3. Stora är då 1.
Kan inte lova att facit stämmer, men om du ritar graferna är det tydligt att den stora är mer än 3 gånger större. 
Jag listade ut det. I mitt originella svar hade jag inte subtraherat den lilla arean från den stora.
Den stora arean är . Då är den 7 gånger större :)
Virrade ihop x och y axeln.
ahh ok.