1
svar
112
visningar
Skalärprodukt
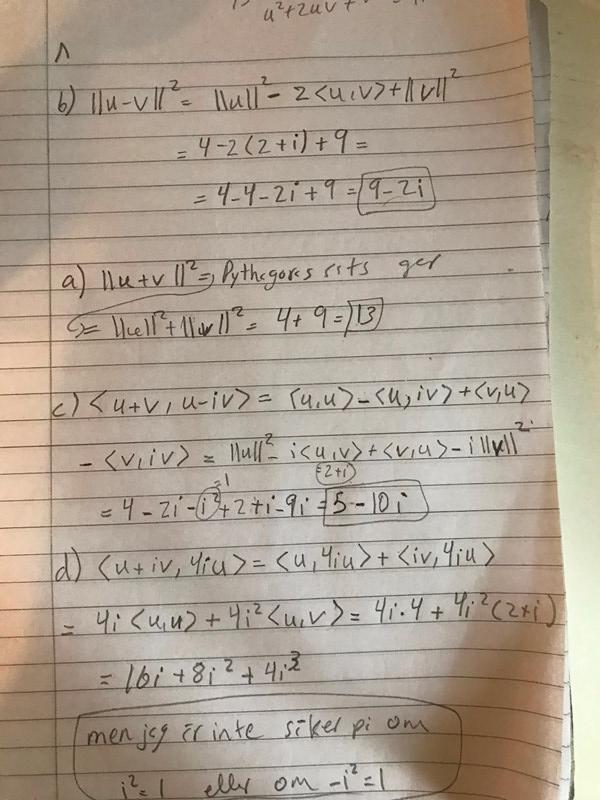
Hej, jag undrar på var gör jag fel
tack på förhand



Du får fel svar därför att du använder räkneregler som inte finns.
Vi har alltså en generell skalärprodukt, du ska bara använda de regler som gäller för en generell skalärprodukt samt den information du får om u och v.