Skalärprodukt av basvektorer
Jag är lite fundersam över hur de får (bild 2) .
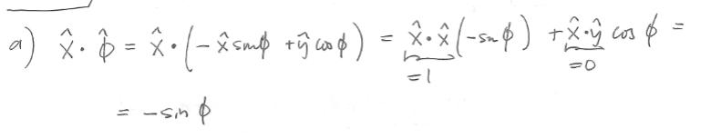
Enligt mitt resonemang (bild 1) får jag
bild 1

Facit
bild 2

Ser ut som att de utgår från att x-axeln motsvarar den "vanliga" y-axeln" så då pekar i negativ x-led.
Soderstrom skrev:Ser ut som att de utgår från att x-axeln motsvarar den "vanliga" y-axeln" så då pekar i negativ x-led.
Bild 1 kan inte stämma, så här borde det vara. Kan dock ändå inte räkna ut hur jag ska lösa ut

Edit: Tror inte bör vara parallell med x axeln utan tangentiell med en cirkel med centrum i origo och ut till svansen av ? dvs


Se figur.
PATENTERAMERA skrev:
Se figur.
Tack ska du ha!
Kan man tänka något så här? får dock inte till det riktigt
Nja, det blir lite knas. Tänk på att är vektorer (enhetsvektorer dessutom) så man kan inte dela den ena med den andra. Vad skulle det ens betyda?
Vad du kan tänka på är att skalärprodukten mellan två enhetsvektorer helt enkelt är cosinus av vinkeln mellan vektorerna. Vinkeln mellan är och vinkeln mellan är . Därav följer resultatet.