Skalärprodukt i euklidiskt rum
Har jag resonerat rätt på (b)?? (och även (a) men är mest osäker på (b))


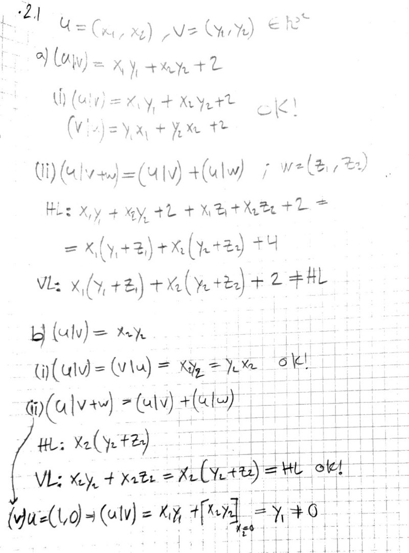
På a) ser det bra ut, på b) ser 1) och 2) bra ut men sen ser jag inte vad du skriver.
Smutsmunnen skrev:På a) ser det bra ut, på b) ser 1) och 2) bra ut men sen ser jag inte vad du skriver.
Ok!
Jag valde en vektor . Och utförde med får vi bara . Eller är jag ute och cyklar?
Soderstrom skrev:Jag valde en vektor . Och utförde med får vi bara . Eller är jag ute och cyklar?
Med det valet av u, vad blir ?
Dr. G skrev:Soderstrom skrev:Jag valde en vektor . Och utförde med får vi bara . Eller är jag ute och cyklar?
Med det valet av u, vad blir ?
Är det b) du gör nu? Blir det 1?
Dr. G skrev:Är det b) du gör nu? Blir det 1?
Ooow, sorry, nu hänger jag med. Det blir 0.
Ja, och om (u|u) = 0 så ...
Dr. G skrev:Ja, och om (u|u) = 0 så ...
... är det inte en skälarprodukt.
Precis, om inte u är nollvektorn, vilket ju knappast (1,0) är.