1
svar
123
visningar
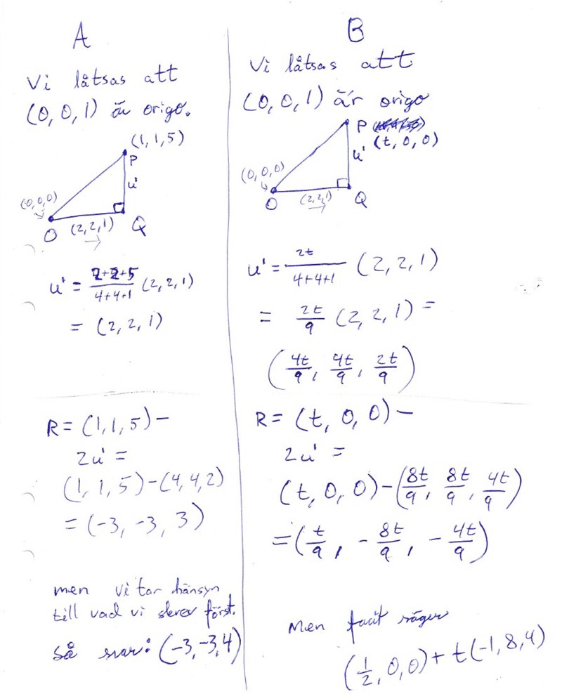
Skalärprodukt, projektion och spegelbild
Hej,
Jag har två uppgifter, A och B.
Jag lyckas med A. Jag tror att jag använder rätt metod på den eftersom att jag får rätt enligt facit.
Men när jag försöker med B, på samma sätt, då blir det fel.
Jag undrar om någon kan förklara för mig var jag gör tankevurpan. Jag är mycket tacksam.
--------------------------------
A: Beräkna spegelbilden av punkten (1, 1, 6) i planet 2x + 2y + z = 1.
B: Beräkna spegelbilden av x-axeln i planet 2x + 2y + z = 1.

Ser nu att det borde vara -1 på z i P där i början. Men jag tror det blir fel ändå!