Skapa egen funktion

Jag har testat flera gånger men får inte till båda kraven, kan någon ge tips på hur man ska tänka
Om någon nämnare bli 0 är funktionen odefinerbar så t.ex är inte definierad för x=-4
Jaha , och sedan var det det andra kravet. Vi slänger in en konstant.
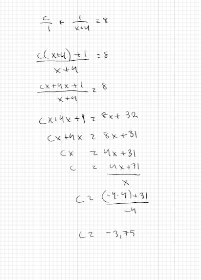
Vad måste c vara om ?
---------------------------------------
Men det finns såklart fler funktioner som fyller kraven. Kan du hitta någon annan?
Kan c vara -3.75
Tänker så här:
2c + (1/x+4) borde väl också funka
2c + (1/x+4) borde väl också funka
Nej, f(x) = 2c+(1/x+4) är odefinierat för x = 0 men inte för x = -4. Förmodligen menar du f(x) = 2c+1/(x+4).
Förmodligen menar du f(x) = 2c+1/(x+4).
Okej i det fallet så är c= -31.5 eller hur?
Bayan Ali skrev:Förmodligen menar du f(x) = 2c+1/(x+4).
Okej i det fallet så är c= -31.5 eller hur?
Menar du f(x) = -63+1/(x+4)? Den funktionen ser inte ut att ha något gränsvärde när x går mot -4.
okej men vad kan c anta för värden i ovanstående exempel?